mp-1047437/CaCu2O4/anharm

Harmonic properties

../../_images/fig_bandos_pr17091.png

(a) Phonon dispersion with participation ratio and DOS

../../_images/fig_thermo17090.png

(b) Thermodynamic properties

Grüneisen parameters

../../_images/fig_gru_all7464.png

(a) Grüneisen parameters

../../_images/fig_gruneisen7464.png

(b) Phonon dispersion with Grüneisen parameters

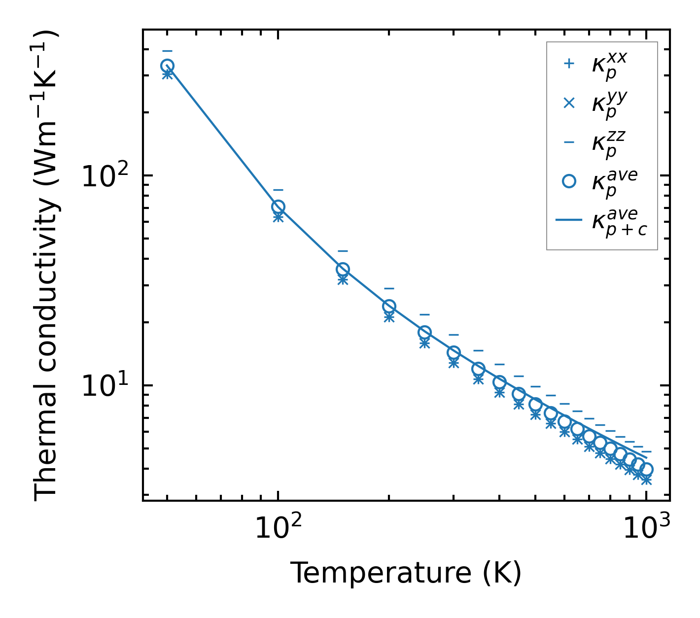
Thermal conductivity

3-phonon (LASSO) — q-mesh: 13x13x13, supercell: 2x2x1

../../_images/fig_kappa14078.png

(a) Temperature-dependent lattice thermal conductivity

../../_images/fig_kappa_vs_grain_size7552.png

(b) Peierls lattice thermal conductivity w.r.t grain size

Phonon lifetime and scattering rates

../../_images/fig_lifetime7397.png

(a) Phonon lifetime due to phonon-phonon scattering

../../_images/fig_scat_rates7396.png

(b) Phonon scattering rates

Cumulative and spectral thermal conductivity

../../_images/fig_cumu_frequency7397.png

(a) Spectral and cumulative thermal conductivity w.r.t frequency

../../_images/fig_cumu_mfp7396.png

(b) Spectral and cumulative thermal conductivity w.r.t MFP

Force constants

../../_images/fig_fc216643.png

(a) Force constants w.r.t atomic distance

Summary

../../_images/fig_kappa14079.png

(a) Temperature-dependent lattice thermal conductivity

../../_images/fig_times27863.png

(b) Computation time