mp-1047649/CaCu2O4/anharm

Harmonic properties

../../_images/fig_bandos_pr17093.png

(a) Phonon dispersion with participation ratio and DOS

../../_images/fig_thermo17092.png

(b) Thermodynamic properties

Grüneisen parameters

../../_images/fig_gru_all7466.png

(a) Grüneisen parameters

../../_images/fig_gruneisen7466.png

(b) Phonon dispersion with Grüneisen parameters

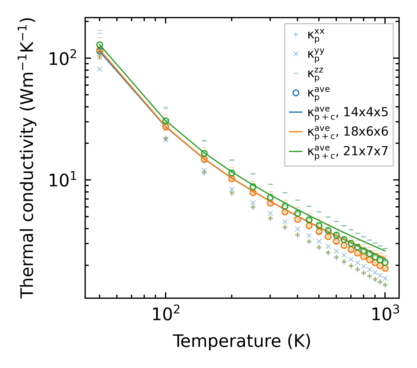
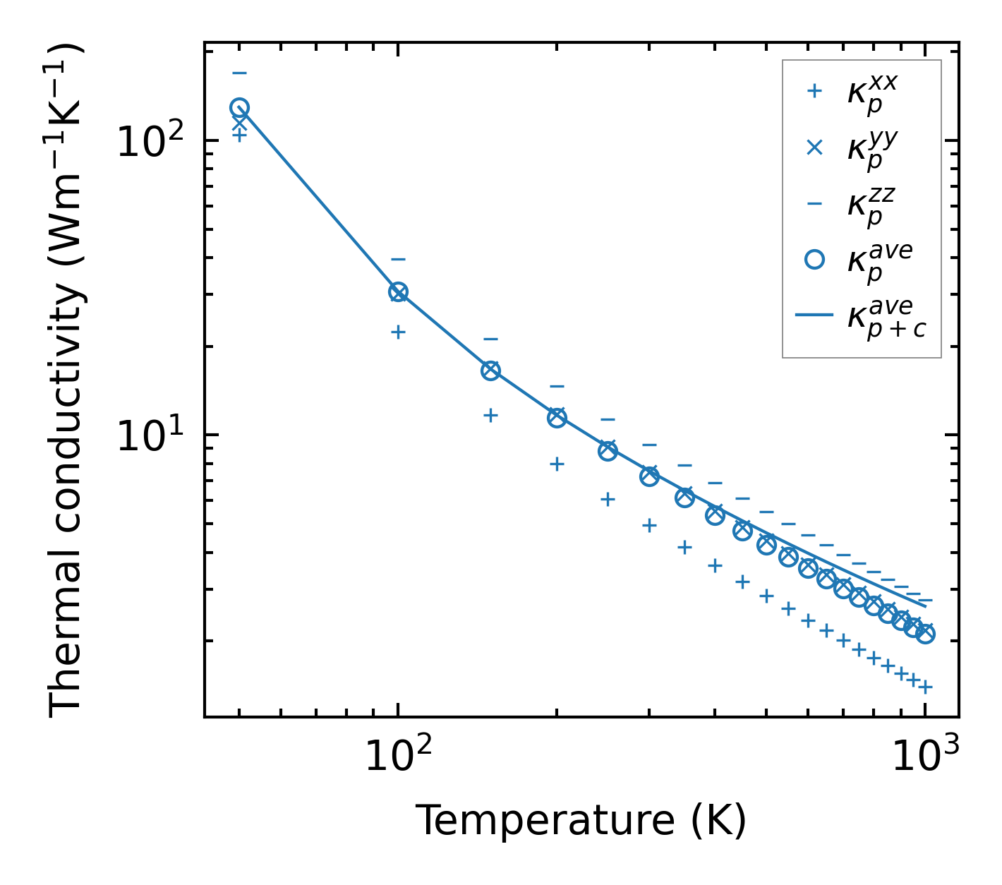
Thermal conductivity

3-phonon (LASSO) — q-mesh: 21x7x7, supercell: 3x1x1

../../_images/fig_kappa14082.png

(a) Temperature-dependent lattice thermal conductivity

../../_images/fig_kappa_vs_grain_size7554.png

(b) Peierls lattice thermal conductivity w.r.t grain size

Phonon lifetime and scattering rates

../../_images/fig_lifetime7399.png

(a) Phonon lifetime due to phonon-phonon scattering

../../_images/fig_scat_rates7398.png

(b) Phonon scattering rates

Cumulative and spectral thermal conductivity

../../_images/fig_cumu_frequency7399.png

(a) Spectral and cumulative thermal conductivity w.r.t frequency

../../_images/fig_cumu_mfp7398.png

(b) Spectral and cumulative thermal conductivity w.r.t MFP

Force constants

../../_images/fig_fc216645.png

(a) Force constants w.r.t atomic distance

Summary

../../_images/fig_kappa14083.png

(a) Temperature-dependent lattice thermal conductivity

../../_images/fig_times27879.png

(b) Computation time