mp-1047770/AlCuW2O8/anharm

Harmonic properties

../../_images/fig_bandos_pr17096.png

(a) Phonon dispersion with participation ratio and DOS

../../_images/fig_thermo17095.png

(b) Thermodynamic properties

Grüneisen parameters

../../_images/fig_gru_all7468.png

(a) Grüneisen parameters

../../_images/fig_gruneisen7468.png

(b) Phonon dispersion with Grüneisen parameters

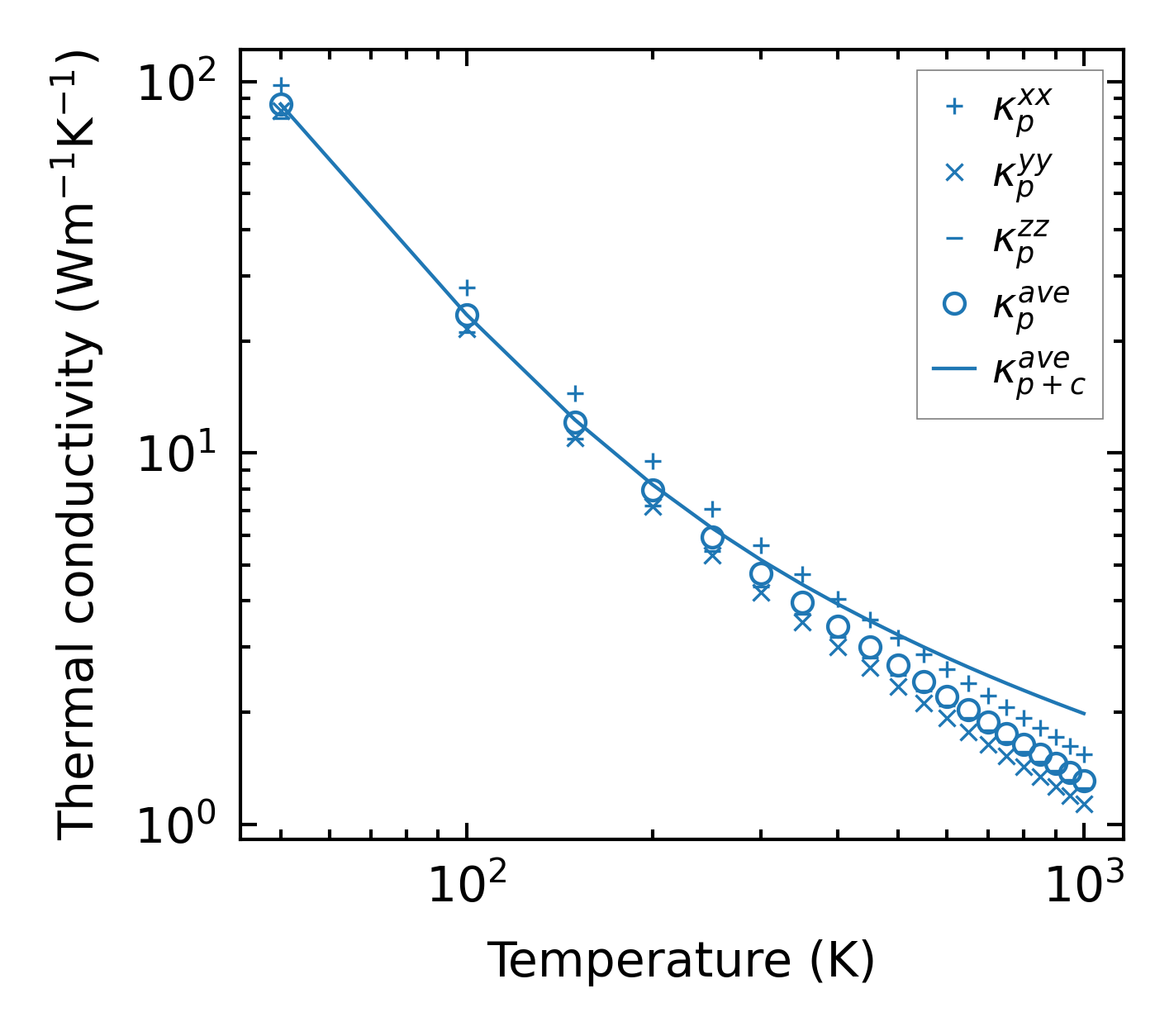
Thermal conductivity

3-phonon (LASSO) — q-mesh: 15x13x7, supercell: 3x2x1

../../_images/fig_kappa14086.png

(a) Temperature-dependent lattice thermal conductivity

../../_images/fig_kappa_vs_grain_size7556.png

(b) Peierls lattice thermal conductivity w.r.t grain size

Phonon lifetime and scattering rates

../../_images/fig_lifetime7401.png

(a) Phonon lifetime due to phonon-phonon scattering

../../_images/fig_scat_rates7400.png

(b) Phonon scattering rates

Cumulative and spectral thermal conductivity

../../_images/fig_cumu_frequency7401.png

(a) Spectral and cumulative thermal conductivity w.r.t frequency

../../_images/fig_cumu_mfp7400.png

(b) Spectral and cumulative thermal conductivity w.r.t MFP

Force constants

../../_images/fig_fc216648.png

(a) Force constants w.r.t atomic distance

Summary

../../_images/fig_kappa14087.png

(a) Temperature-dependent lattice thermal conductivity

../../_images/fig_times27884.png

(b) Computation time