mp-1047674/AlAgW2O8/anharm

Harmonic properties

../../_images/fig_bandos_pr17094.png

(a) Phonon dispersion with participation ratio and DOS

../../_images/fig_thermo17093.png

(b) Thermodynamic properties

Grüneisen parameters

../../_images/fig_gru_all7467.png

(a) Grüneisen parameters

../../_images/fig_gruneisen7467.png

(b) Phonon dispersion with Grüneisen parameters

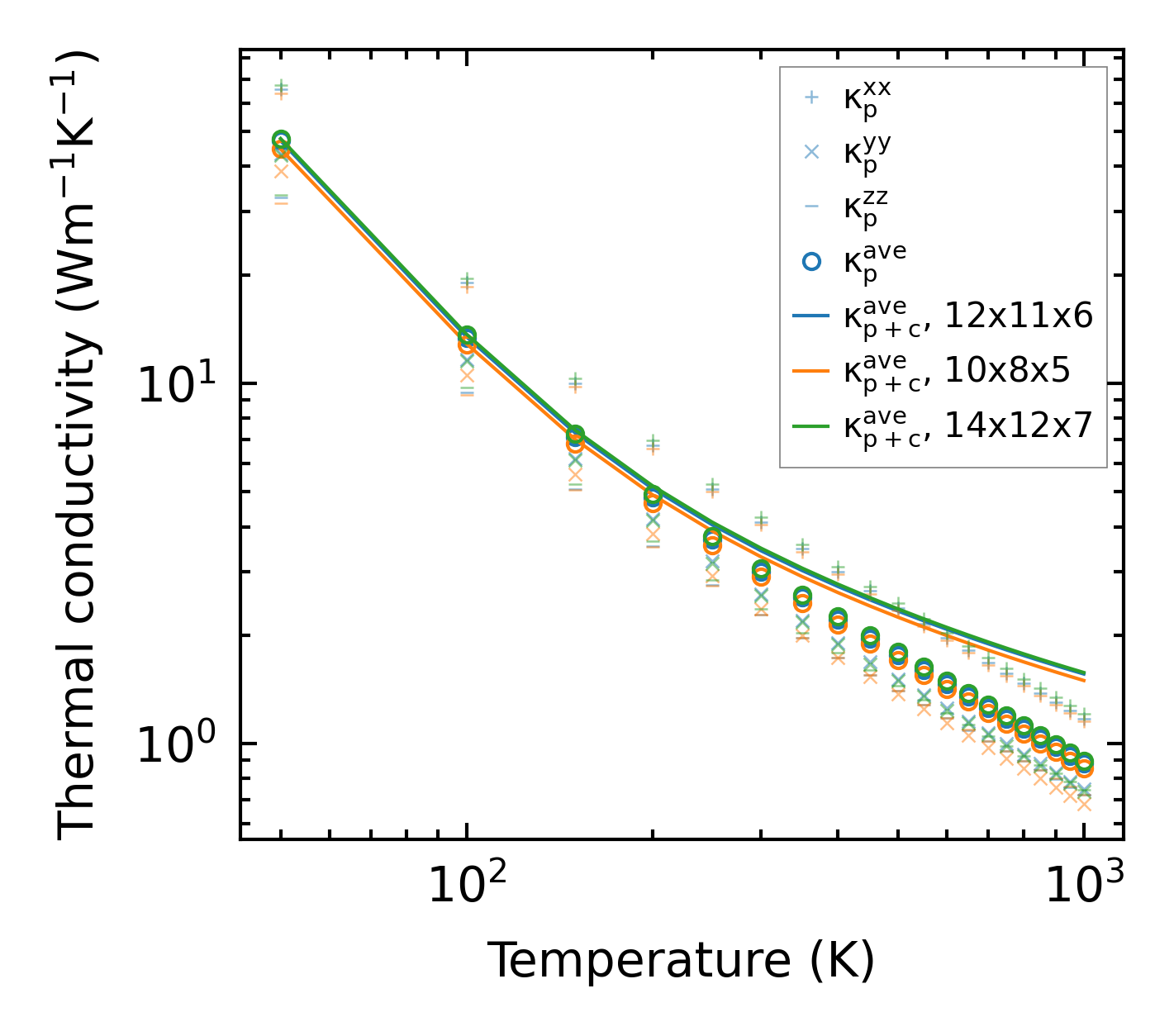
Thermal conductivity

3-phonon (LASSO) — q-mesh: 14x12x7, supercell: 3x2x1

../../_images/fig_kappa14084.png

(a) Temperature-dependent lattice thermal conductivity

../../_images/fig_kappa_vs_grain_size7555.png

(b) Peierls lattice thermal conductivity w.r.t grain size

Phonon lifetime and scattering rates

../../_images/fig_lifetime7400.png

(a) Phonon lifetime due to phonon-phonon scattering

../../_images/fig_scat_rates7399.png

(b) Phonon scattering rates

Cumulative and spectral thermal conductivity

../../_images/fig_cumu_frequency7400.png

(a) Spectral and cumulative thermal conductivity w.r.t frequency

../../_images/fig_cumu_mfp7399.png

(b) Spectral and cumulative thermal conductivity w.r.t MFP

Force constants

../../_images/fig_fc216646.png

(a) Force constants w.r.t atomic distance

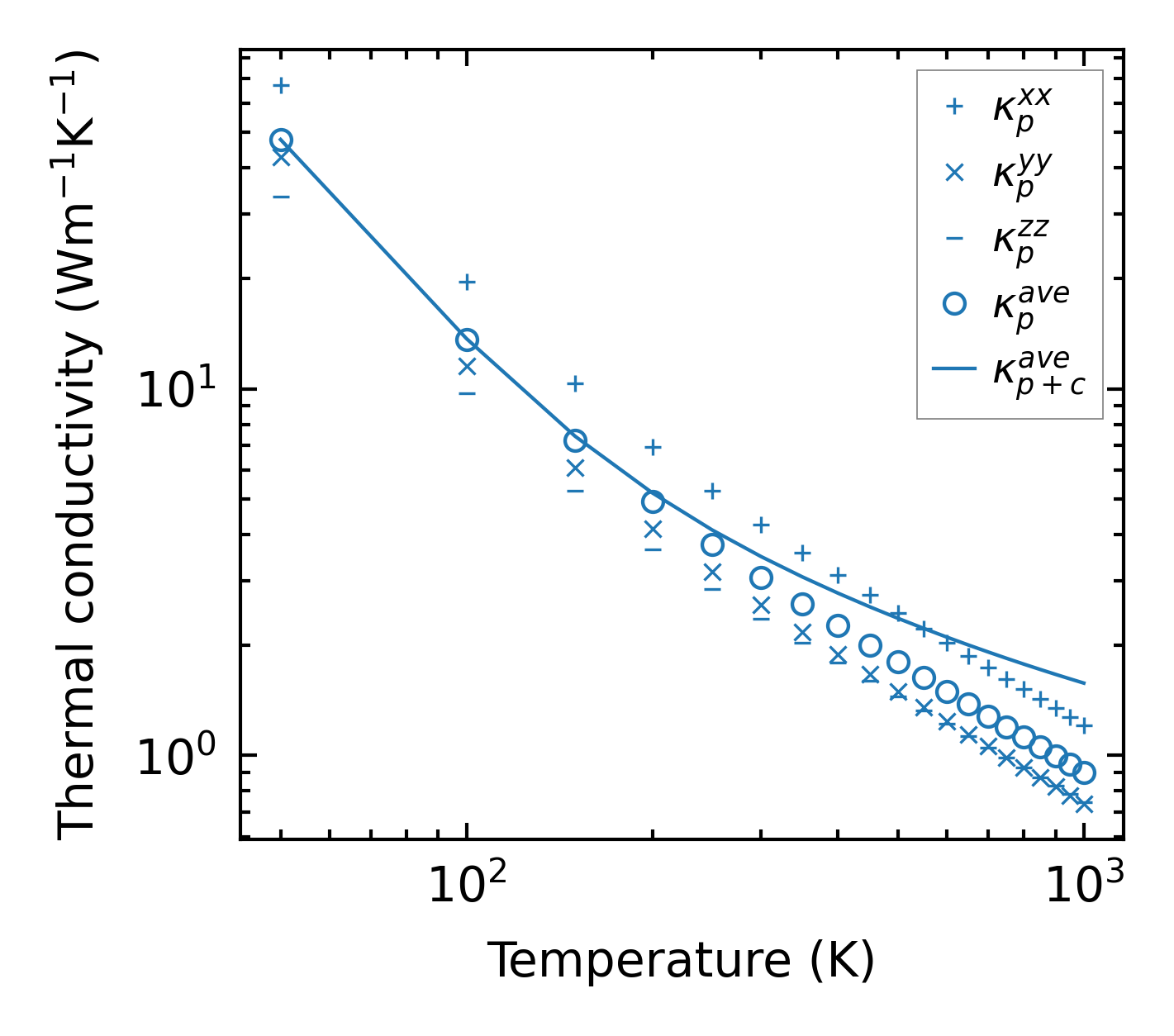
Summary

../../_images/fig_kappa14085.png

(a) Temperature-dependent lattice thermal conductivity

../../_images/fig_times27881.png

(b) Computation time