mp-1023948/TeMoSe/anharm

Harmonic properties

../../_images/fig_bandos_pr17147.png

(a) Phonon dispersion with participation ratio and DOS

../../_images/fig_thermo17146.png

(b) Thermodynamic properties

Grüneisen parameters

../../_images/fig_gru_all7502.png

(a) Grüneisen parameters

../../_images/fig_gruneisen7502.png

(b) Phonon dispersion with Grüneisen parameters

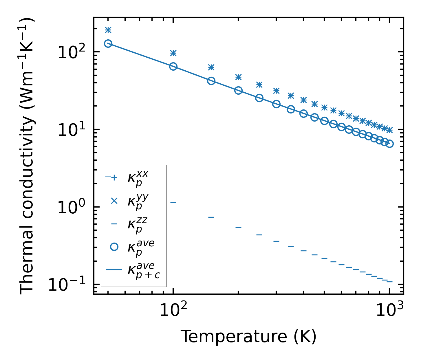
Thermal conductivity

3-phonon (LASSO) — q-mesh: 22x22x5, supercell: 5x5x1

../../_images/fig_kappa14154.png

(a) Temperature-dependent lattice thermal conductivity

../../_images/fig_kappa_vs_grain_size7592.png

(b) Peierls lattice thermal conductivity w.r.t grain size

Phonon lifetime and scattering rates

../../_images/fig_lifetime7435.png

(a) Phonon lifetime due to phonon-phonon scattering

../../_images/fig_scat_rates7434.png

(b) Phonon scattering rates

Cumulative and spectral thermal conductivity

../../_images/fig_cumu_frequency7435.png

(a) Spectral and cumulative thermal conductivity w.r.t frequency

../../_images/fig_cumu_mfp7434.png

(b) Spectral and cumulative thermal conductivity w.r.t MFP

Force constants

../../_images/fig_fc216691.png

(a) Force constants w.r.t atomic distance

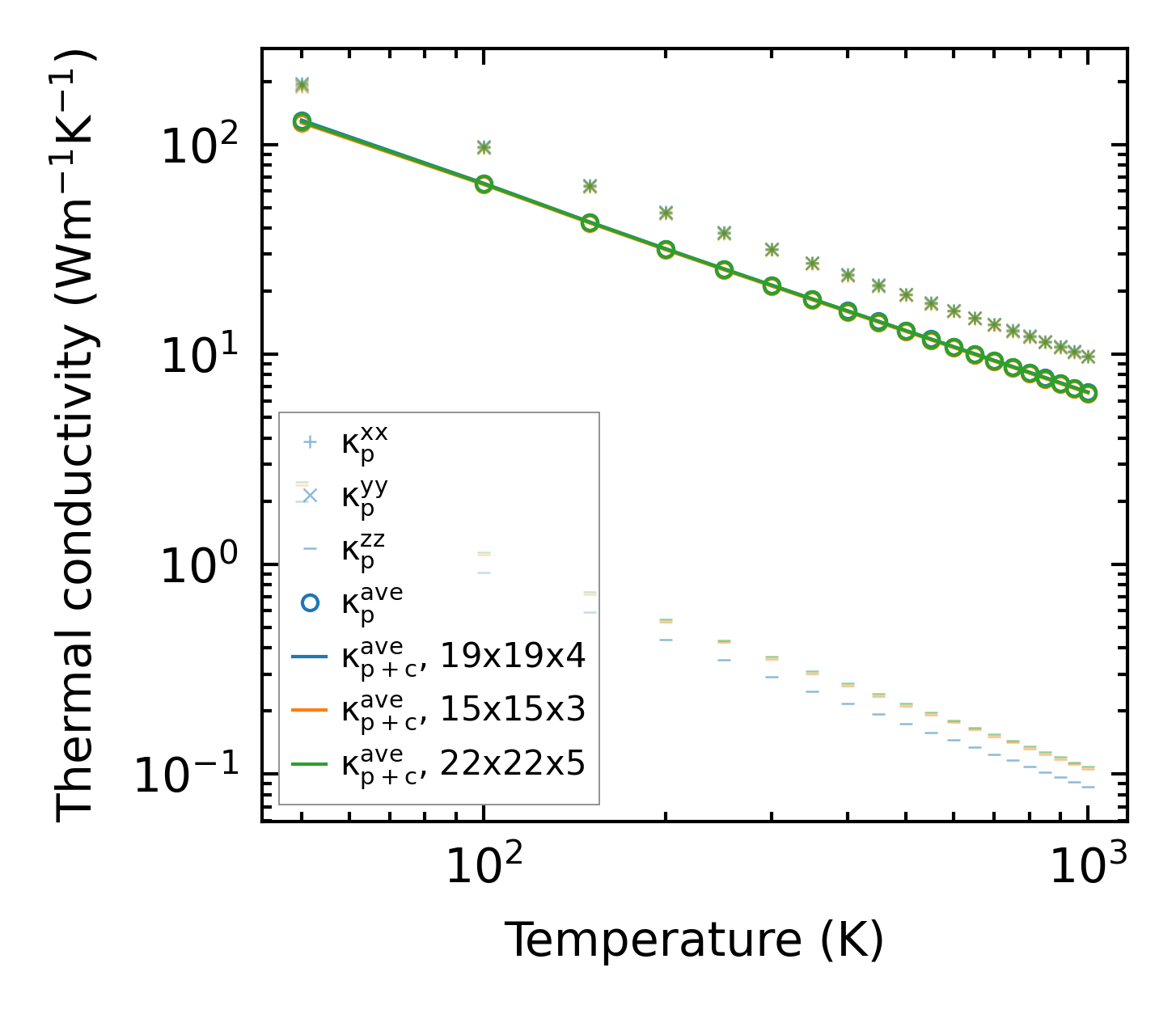
Summary

../../_images/fig_kappa14155.png

(a) Temperature-dependent lattice thermal conductivity

../../_images/fig_times27973.png

(b) Computation time