mp-1023934/MoSe2/anharm

Equation of state

../../_images/fig_bm19.png

(a) Equation of state

Harmonic properties

../../_images/fig_bandos_pr146.png

(a) Phonon dispersion with participation ratio and DOS

../../_images/fig_thermo146.png

(b) Thermodynamic properties

Grüneisen parameters

../../_images/fig_gru_all83.png

(a) Grüneisen parameters

../../_images/fig_gruneisen83.png

(b) Phonon dispersion with Grüneisen parameters

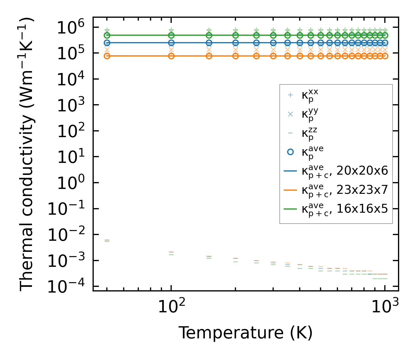
Thermal conductivity

3-phonon (LASSO) — q-mesh: 23x23x7, supercell: 6x6x1

../../_images/fig_kappa161.png

(a) Temperature-dependent lattice thermal conductivity

../../_images/fig_kappa_vs_grain_size85.png

(b) Peierls lattice thermal conductivity w.r.t grain size

Phonon lifetime and scattering rates

../../_images/fig_lifetime83.png

(a) Phonon lifetime due to phonon-phonon scattering

../../_images/fig_scat_rates83.png

(b) Phonon scattering rates

Cumulative and spectral thermal conductivity

../../_images/fig_cumu_frequency83.png

(a) Spectral and cumulative thermal conductivity w.r.t frequency

../../_images/fig_cumu_mfp83.png

(b) Spectral and cumulative thermal conductivity w.r.t MFP

Force constants

../../_images/fig_fc2144.png

(a) Force constants w.r.t atomic distance

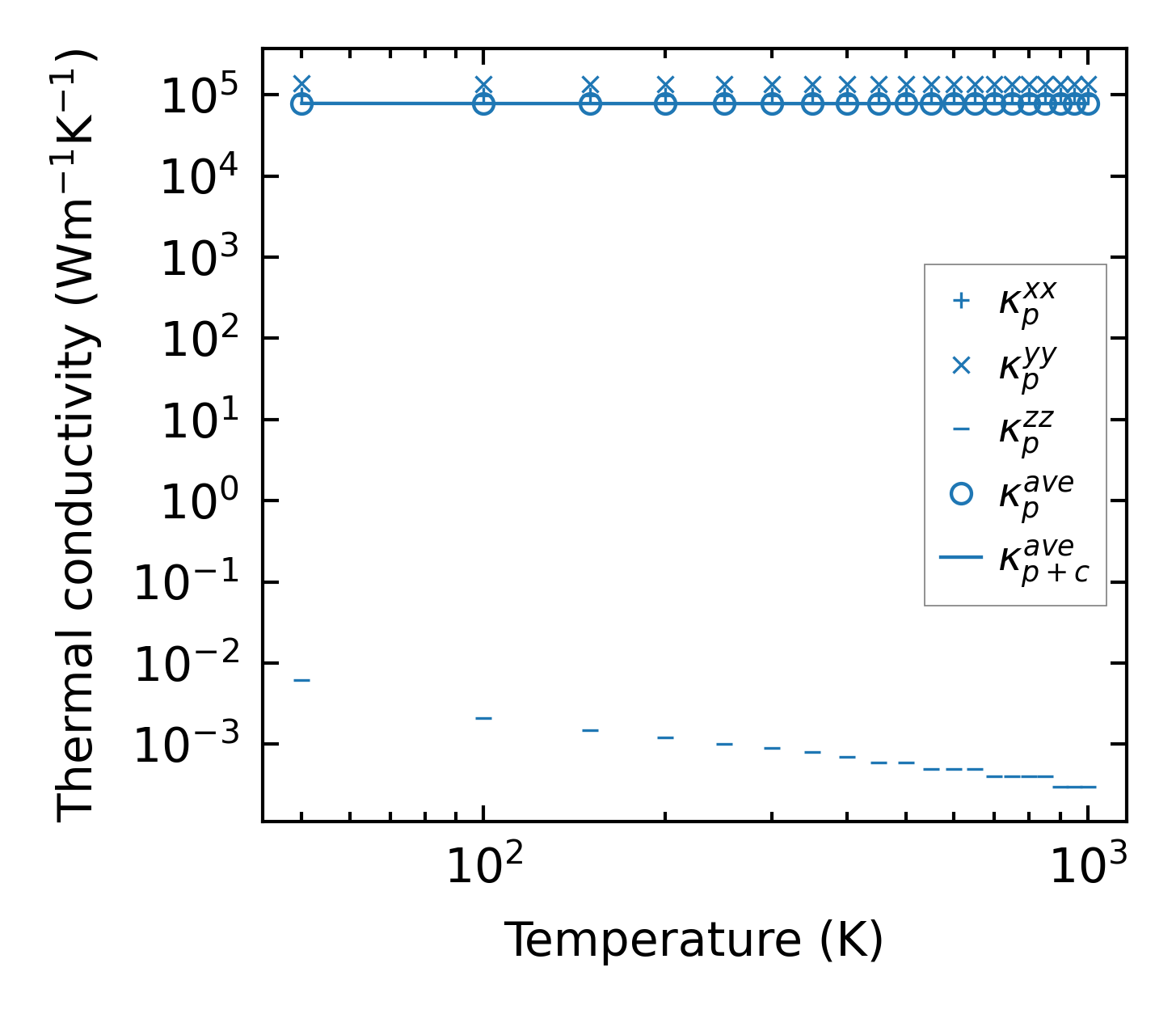
Summary

../../_images/fig_kappa162.png

(a) Temperature-dependent lattice thermal conductivity

../../_images/fig_times254.png

(b) Computation time