mp-1023926/Te2W/anharm

Harmonic properties

../../_images/fig_bandos_pr142.png

(a) Phonon dispersion with participation ratio and DOS

../../_images/fig_bandos179.png

(b) Phonon dispersion and DOS

../../_images/fig_thermo142.png

(c) Thermodynamic properties

Grüneisen parameters

../../_images/fig_gru_all79.png

(a) Grüneisen parameters

../../_images/fig_gruneisen79.png

(b) Phonon dispersion with Grüneisen parameters

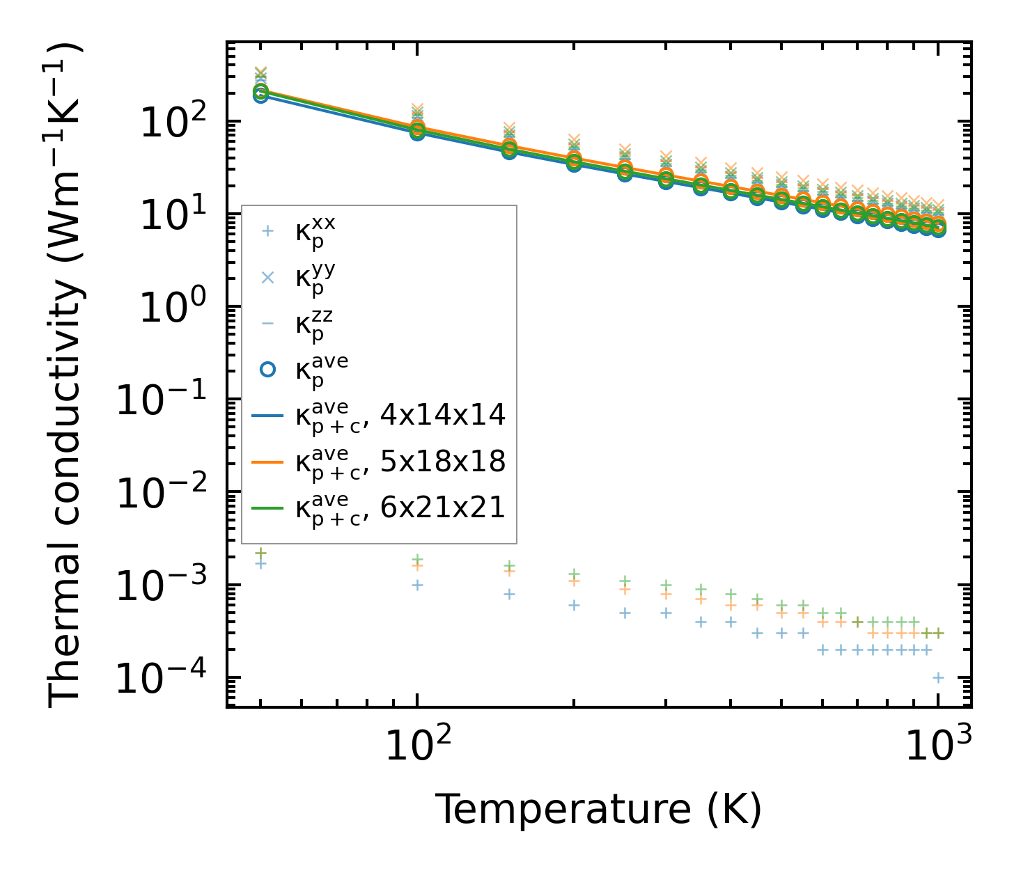
Thermal conductivity

3-phonon (LASSO) — q-mesh: 6x21x21, supercell: 1x5x3

../../_images/fig_kappa153.png

(a) Temperature-dependent lattice thermal conductivity

../../_images/fig_kappa_vs_grain_size81.png

(b) Peierls lattice thermal conductivity w.r.t grain size

Phonon lifetime and scattering rates

../../_images/fig_lifetime79.png

(a) Phonon lifetime due to phonon-phonon scattering

../../_images/fig_scat_rates79.png

(b) Phonon scattering rates

Cumulative and spectral thermal conductivity

../../_images/fig_cumu_frequency79.png

(a) Spectral and cumulative thermal conductivity w.r.t frequency

../../_images/fig_cumu_mfp79.png

(b) Spectral and cumulative thermal conductivity w.r.t MFP

Force constants

../../_images/fig_fc2140.png

(a) Force constants w.r.t atomic distance

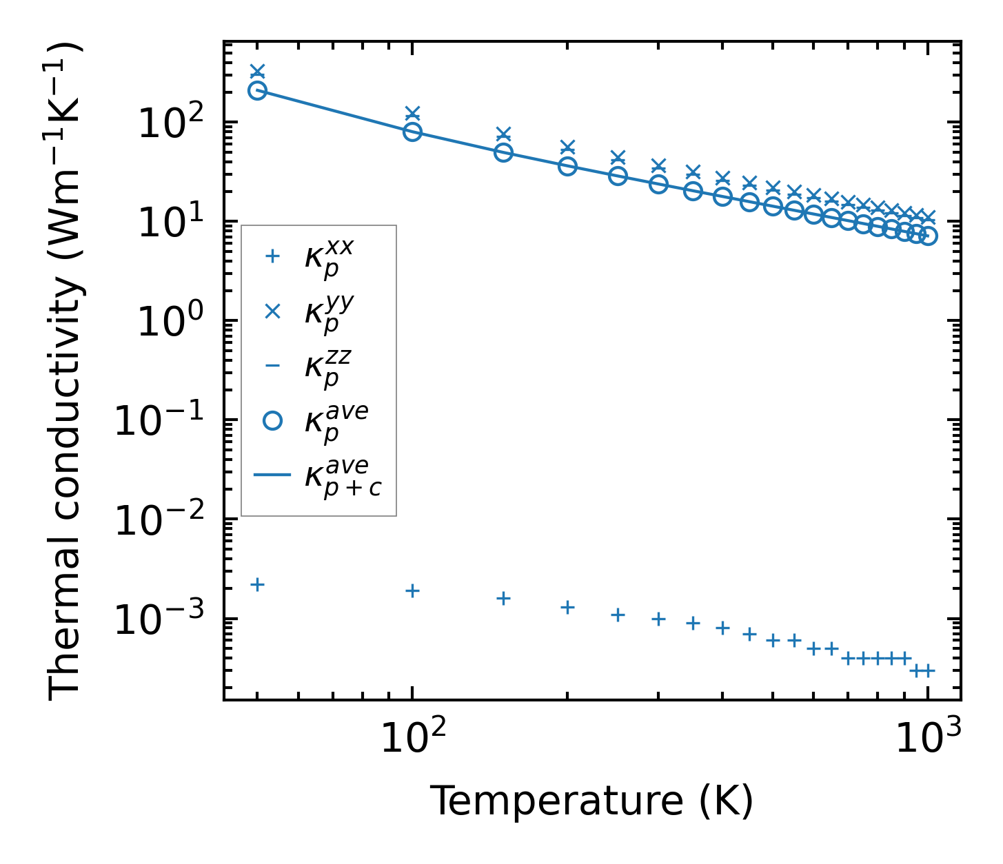
Summary

../../_images/fig_kappa154.png

(a) Temperature-dependent lattice thermal conductivity

../../_images/fig_times248.png

(b) Computation time