mp-1023900-2/SiS/anharm

Equation of state

../../_images/fig_bm18.png

(a) Equation of state

Harmonic properties

../../_images/fig_bandos_pr139.png

(a) Phonon dispersion with participation ratio and DOS

../../_images/fig_thermo139.png

(b) Thermodynamic properties

Grüneisen parameters

../../_images/fig_gru_all77.png

(a) Grüneisen parameters

../../_images/fig_gruneisen77.png

(b) Phonon dispersion with Grüneisen parameters

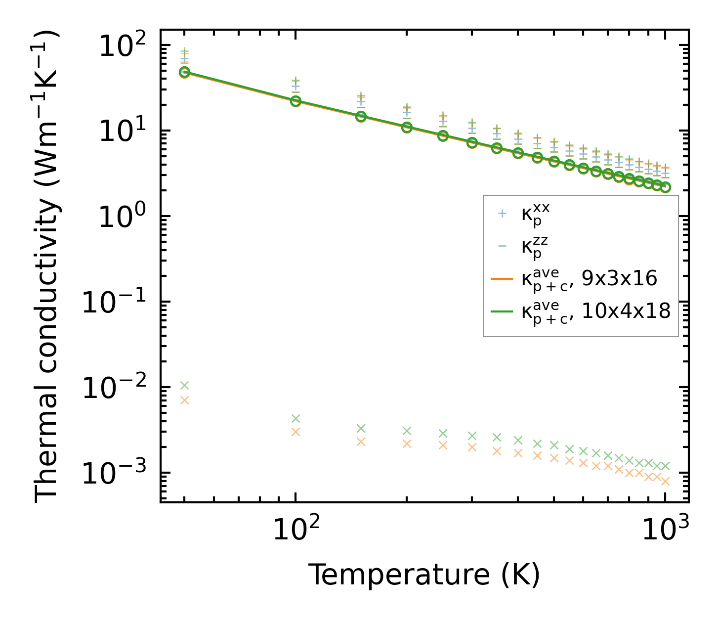
Thermal conductivity

3-phonon (LASSO) — q-mesh: 10x4x18, supercell: 3x1x6

../../_images/fig_kappa149.png

(a) Temperature-dependent lattice thermal conductivity

../../_images/fig_kappa_vs_grain_size79.png

(b) Peierls lattice thermal conductivity w.r.t grain size

Phonon lifetime and scattering rates

../../_images/fig_lifetime77.png

(a) Phonon lifetime due to phonon-phonon scattering

../../_images/fig_scat_rates77.png

(b) Phonon scattering rates

Cumulative and spectral thermal conductivity

../../_images/fig_cumu_frequency77.png

(a) Spectral and cumulative thermal conductivity w.r.t frequency

../../_images/fig_cumu_mfp77.png

(b) Spectral and cumulative thermal conductivity w.r.t MFP

Force constants

../../_images/fig_fc2137.png

(a) Force constants w.r.t atomic distance

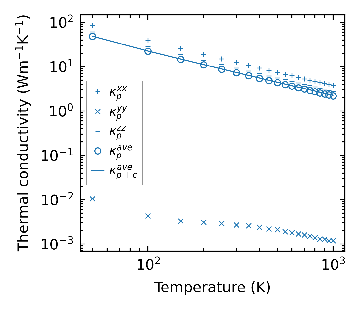
Summary

../../_images/fig_kappa150.png

(a) Temperature-dependent lattice thermal conductivity

../../_images/fig_times245.png

(b) Computation time