mp-1023933/WSe2/anharm

Harmonic properties

../../_images/fig_bandos_pr145.png

(a) Phonon dispersion with participation ratio and DOS

../../_images/fig_thermo145.png

(b) Thermodynamic properties

Grüneisen parameters

../../_images/fig_gru_all82.png

(a) Grüneisen parameters

../../_images/fig_gruneisen82.png

(b) Phonon dispersion with Grüneisen parameters

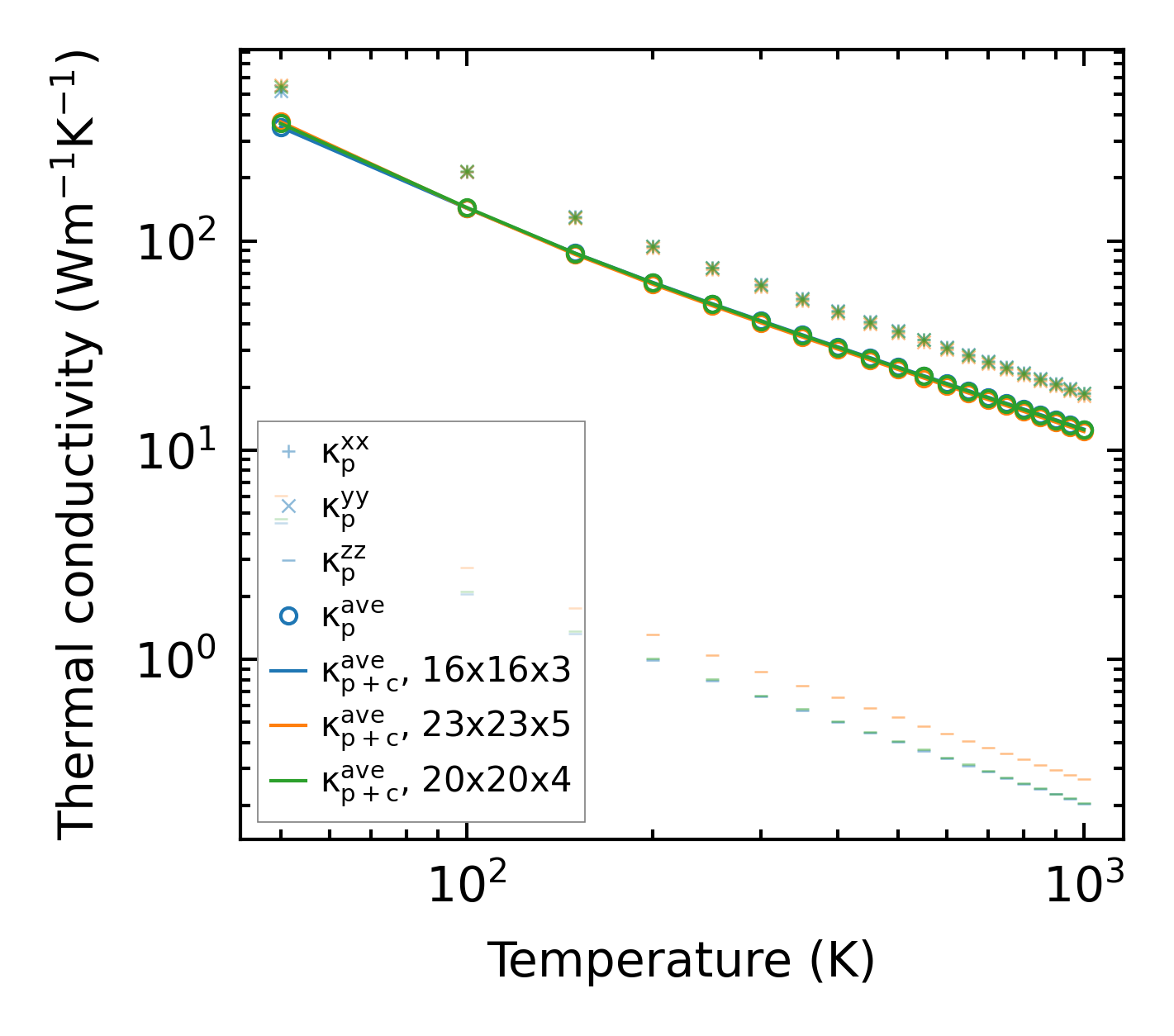
Thermal conductivity

3-phonon (LASSO) — q-mesh: 23x23x5, supercell: 5x5x1

../../_images/fig_kappa159.png

(a) Temperature-dependent lattice thermal conductivity

../../_images/fig_kappa_vs_grain_size84.png

(b) Peierls lattice thermal conductivity w.r.t grain size

Phonon lifetime and scattering rates

../../_images/fig_lifetime82.png

(a) Phonon lifetime due to phonon-phonon scattering

../../_images/fig_scat_rates82.png

(b) Phonon scattering rates

Cumulative and spectral thermal conductivity

../../_images/fig_cumu_frequency82.png

(a) Spectral and cumulative thermal conductivity w.r.t frequency

../../_images/fig_cumu_mfp82.png

(b) Spectral and cumulative thermal conductivity w.r.t MFP

Force constants

../../_images/fig_fc2143.png

(a) Force constants w.r.t atomic distance

Summary

../../_images/fig_kappa160.png

(a) Temperature-dependent lattice thermal conductivity

../../_images/fig_times253.png

(b) Computation time