mp-1001786/LiScS2/anharm

Harmonic properties

../../_images/fig_bandos_pr264.png

(a) Phonon dispersion with participation ratio and DOS

../../_images/fig_thermo264.png

(b) Thermodynamic properties

Grüneisen parameters

../../_images/fig_gru_all177.png

(a) Grüneisen parameters

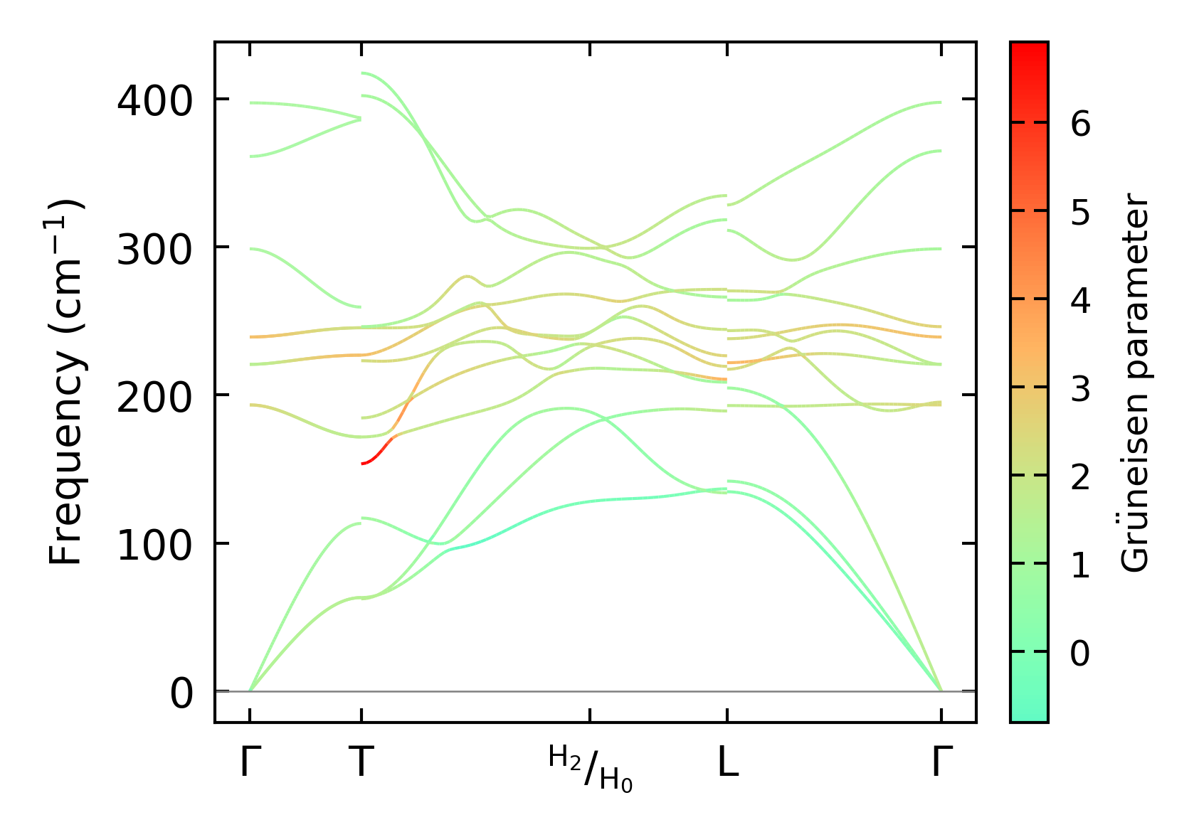
../../_images/fig_gruneisen177.png

(b) Phonon dispersion with Grüneisen parameters

Thermal conductivity

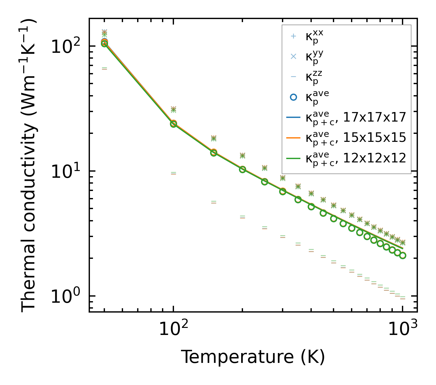
3-phonon (LASSO) — q-mesh: 17x17x17, supercell: 3x3x1

../../_images/fig_kappa345.png

(a) Temperature-dependent lattice thermal conductivity

../../_images/fig_kappa_vs_grain_size179.png

(b) Peierls lattice thermal conductivity w.r.t grain size

Phonon lifetime and scattering rates

../../_images/fig_lifetime176.png

(a) Phonon lifetime due to phonon-phonon scattering

../../_images/fig_scat_rates175.png

(b) Phonon scattering rates

Cumulative and spectral thermal conductivity

../../_images/fig_cumu_frequency176.png

(a) Spectral and cumulative thermal conductivity w.r.t frequency

../../_images/fig_cumu_mfp176.png

(b) Spectral and cumulative thermal conductivity w.r.t MFP

Force constants

../../_images/fig_fc2232.png

(a) Force constants w.r.t atomic distance

Summary

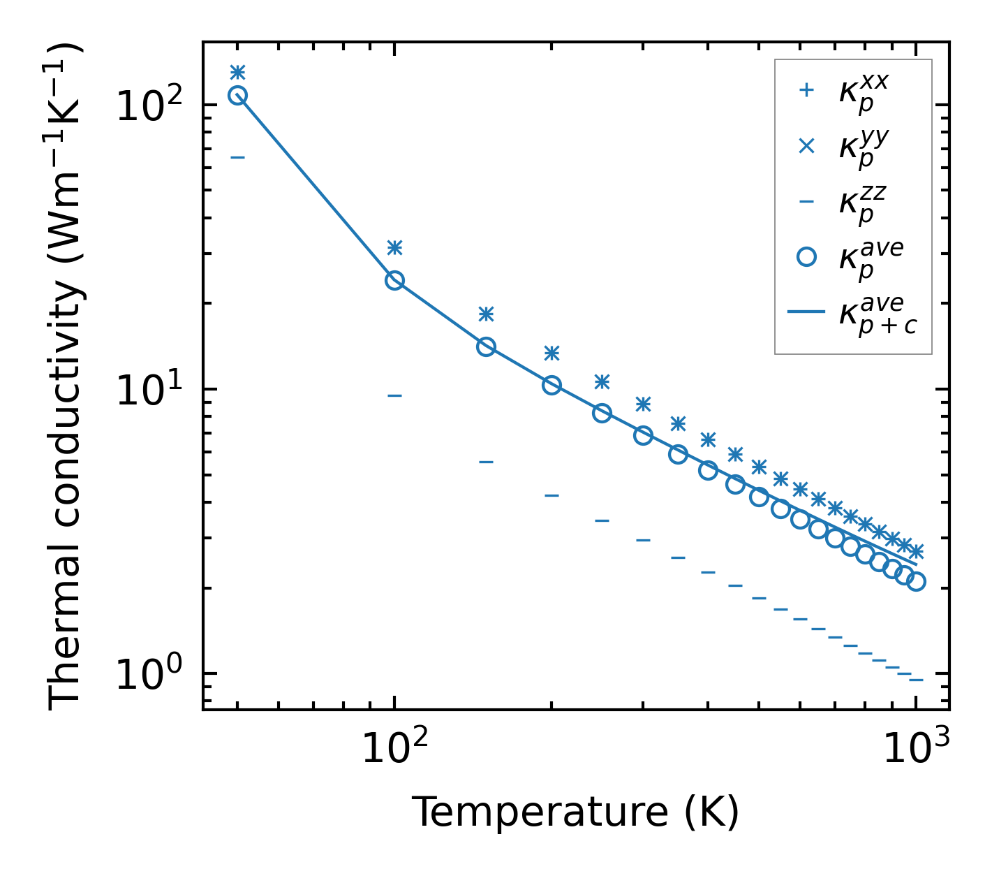
../../_images/fig_kappa346.png

(a) Temperature-dependent lattice thermal conductivity

../../_images/fig_times420.png

(b) Computation time