mp-1001016/Sc2ZnSe4/anharm

Harmonic properties

../../_images/fig_bandos_pr254.png

(a) Phonon dispersion with participation ratio and DOS

../../_images/fig_thermo254.png

(b) Thermodynamic properties

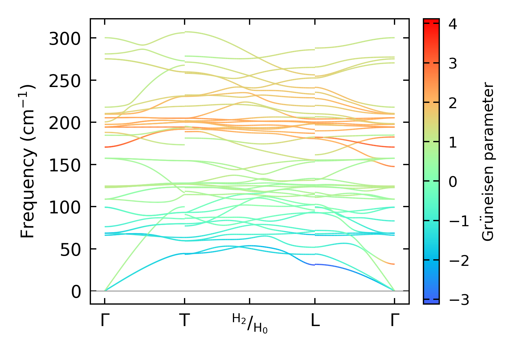
Grüneisen parameters

../../_images/fig_gru_all169.png

(a) Grüneisen parameters

../../_images/fig_gruneisen169.png

(b) Phonon dispersion with Grüneisen parameters

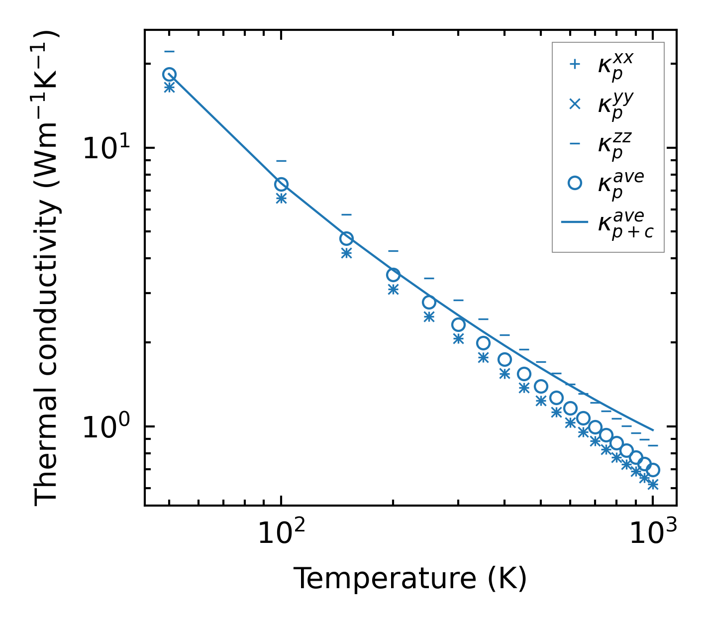
Thermal conductivity

3-phonon (LASSO) — q-mesh: 10x10x10, supercell: 1x1x1

../../_images/fig_kappa328.png

(a) Temperature-dependent lattice thermal conductivity

../../_images/fig_kappa_vs_grain_size170.png

(b) Peierls lattice thermal conductivity w.r.t grain size

Phonon lifetime and scattering rates

../../_images/fig_lifetime168.png

(a) Phonon lifetime due to phonon-phonon scattering

../../_images/fig_scat_rates167.png

(b) Phonon scattering rates

Cumulative and spectral thermal conductivity

../../_images/fig_cumu_frequency168.png

(a) Spectral and cumulative thermal conductivity w.r.t frequency

../../_images/fig_cumu_mfp168.png

(b) Spectral and cumulative thermal conductivity w.r.t MFP

Force constants

../../_images/fig_fc2226.png

(a) Force constants w.r.t atomic distance

Summary

../../_images/fig_kappa329.png

(a) Temperature-dependent lattice thermal conductivity

../../_images/fig_times405.png

(b) Computation time