mp-1001079-2/LiC2N2/anharm

Equation of state

../../_images/fig_bm62.png

(a) Equation of state

Harmonic properties

../../_images/fig_bandos_pr259.png

(a) Phonon dispersion with participation ratio and DOS

../../_images/fig_thermo259.png

(b) Thermodynamic properties

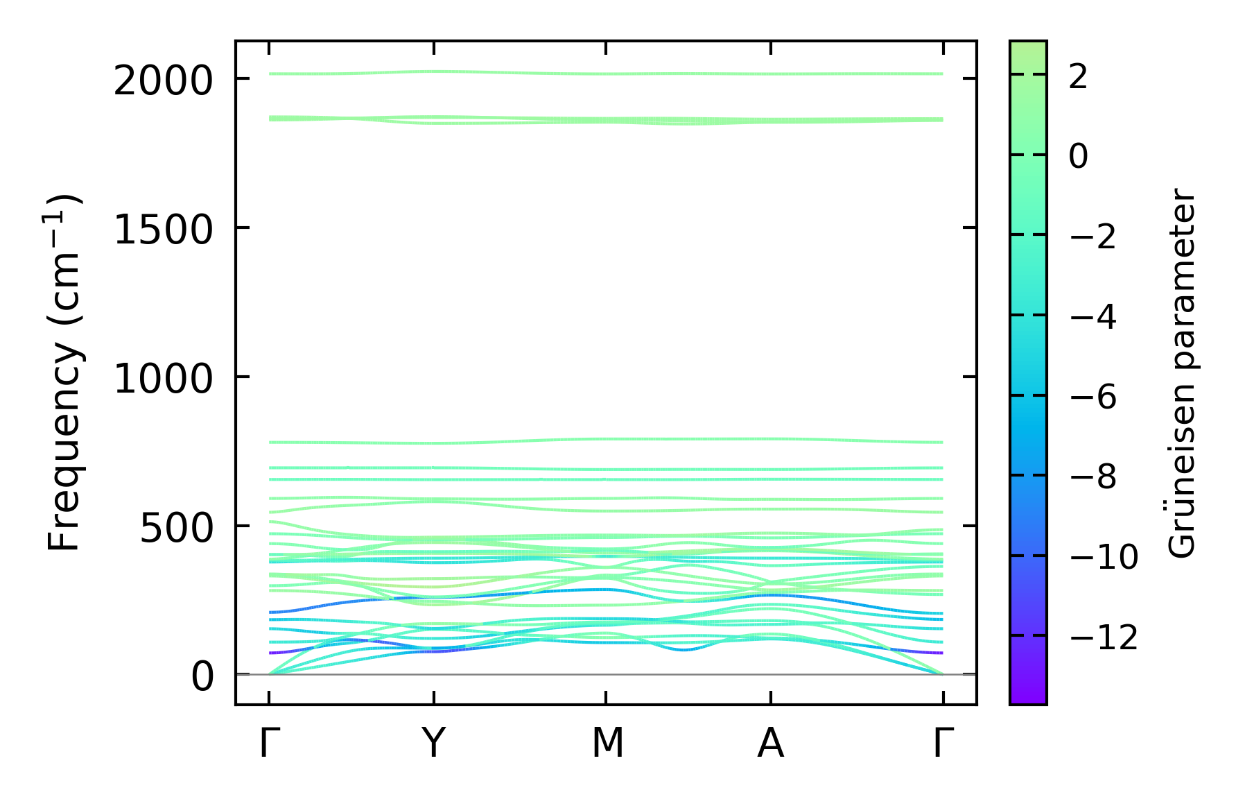
Grüneisen parameters

../../_images/fig_gru_all174.png

(a) Grüneisen parameters

../../_images/fig_gruneisen174.png

(b) Phonon dispersion with Grüneisen parameters

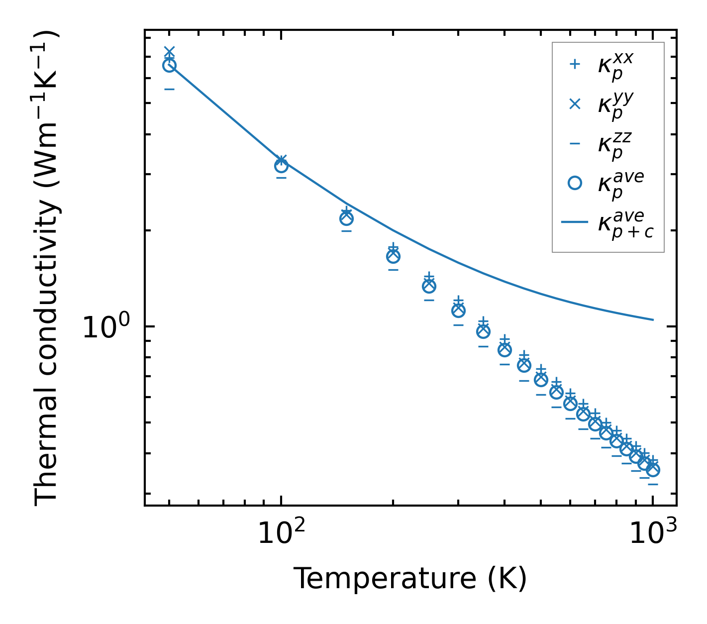
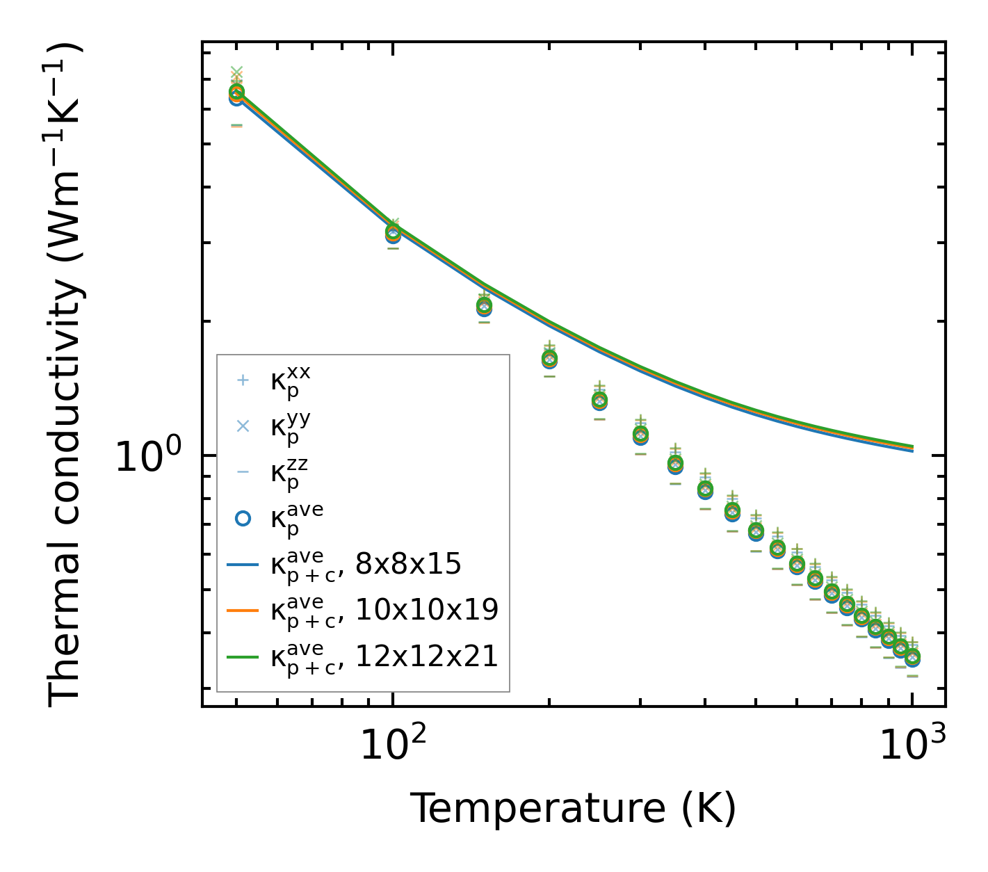
Thermal conductivity

3-phonon (LASSO) — q-mesh: 12x12x21, supercell: 2x1x3

../../_images/fig_kappa339.png

(a) Temperature-dependent lattice thermal conductivity

../../_images/fig_kappa_vs_grain_size176.png

(b) Peierls lattice thermal conductivity w.r.t grain size

Phonon lifetime and scattering rates

../../_images/fig_lifetime173.png

(a) Phonon lifetime due to phonon-phonon scattering

../../_images/fig_scat_rates172.png

(b) Phonon scattering rates

Cumulative and spectral thermal conductivity

../../_images/fig_cumu_frequency173.png

(a) Spectral and cumulative thermal conductivity w.r.t frequency

../../_images/fig_cumu_mfp173.png

(b) Spectral and cumulative thermal conductivity w.r.t MFP

Force constants

../../_images/fig_fc2227.png

(a) Force constants w.r.t atomic distance

Summary

../../_images/fig_kappa340.png

(a) Temperature-dependent lattice thermal conductivity

../../_images/fig_times413.png

(b) Computation time