mp-1001017-2/ZnIn2Se4/anharm

Harmonic properties

../../_images/fig_bandos_pr256.png

(a) Phonon dispersion with participation ratio and DOS

../../_images/fig_bandos253.png

(b) Phonon dispersion and DOS

../../_images/fig_thermo256.png

(c) Thermodynamic properties

Grüneisen parameters

../../_images/fig_gru_all171.png

(a) Grüneisen parameters

../../_images/fig_gruneisen171.png

(b) Phonon dispersion with Grüneisen parameters

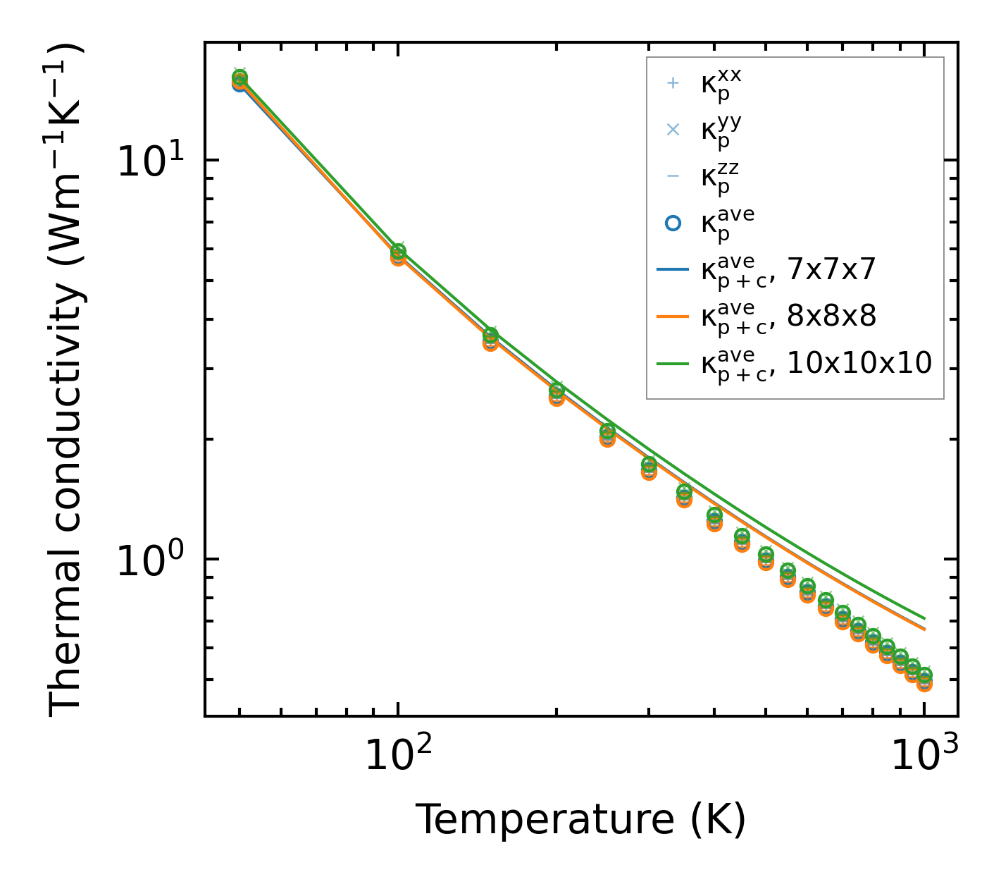
Thermal conductivity

3-phonon — q-mesh: 10x10x10, supercell: 1x1x1

../../_images/fig_kappa333.png

(a) Temperature-dependent lattice thermal conductivity

../../_images/fig_kappa_vs_grain_size173.png

(b) Peierls lattice thermal conductivity w.r.t grain size

Phonon lifetime and scattering rates

../../_images/fig_lifetime170.png

(a) Phonon lifetime due to phonon-phonon scattering

../../_images/fig_scat_rates169.png

(b) Phonon scattering rates

Cumulative and spectral thermal conductivity

../../_images/fig_cumu_frequency170.png

(a) Spectral and cumulative thermal conductivity w.r.t frequency

../../_images/fig_cumu_mfp170.png

(b) Spectral and cumulative thermal conductivity w.r.t MFP

Force constants

../../_images/fig_fc329.png

(a) Force constants w.r.t atomic distance

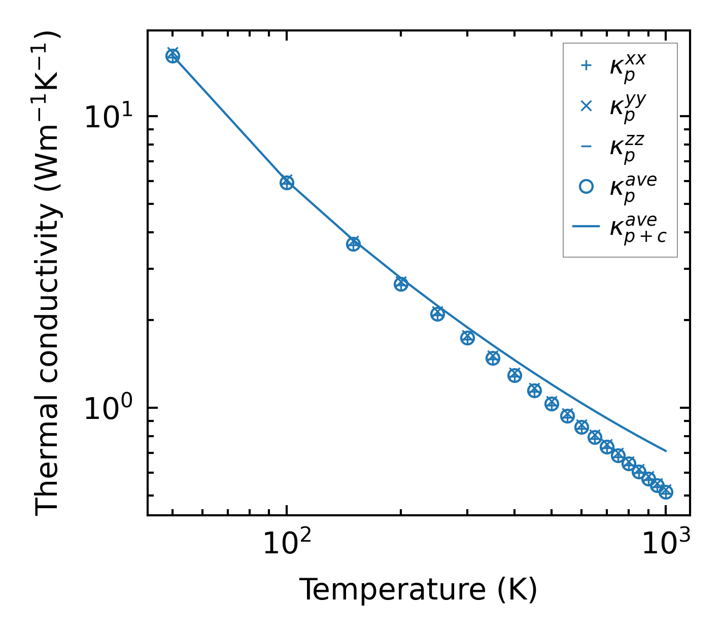
Summary

../../_images/fig_kappa334.png

(a) Temperature-dependent lattice thermal conductivity

../../_images/fig_times407.png

(b) Computation time