mp-1001012/Sc2ZnS4/anharm

Harmonic properties

../../_images/fig_bandos_pr252.png

(a) Phonon dispersion with participation ratio and DOS

../../_images/fig_thermo252.png

(b) Thermodynamic properties

Grüneisen parameters

../../_images/fig_gru_all167.png

(a) Grüneisen parameters

../../_images/fig_gruneisen167.png

(b) Phonon dispersion with Grüneisen parameters

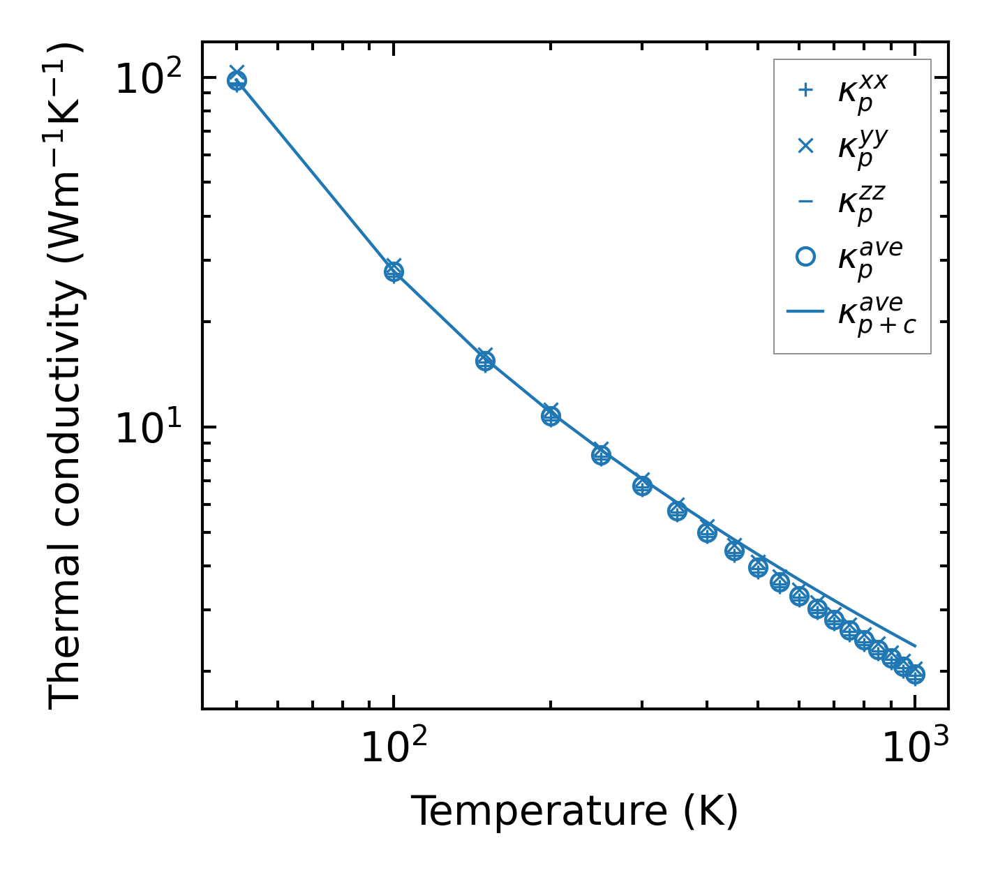
Thermal conductivity

3-phonon (LASSO) — q-mesh: 10x10x10, supercell: 1x2x2

../../_images/fig_kappa324.png

(a) Temperature-dependent lattice thermal conductivity

../../_images/fig_kappa_vs_grain_size168.png

(b) Peierls lattice thermal conductivity w.r.t grain size

Phonon lifetime and scattering rates

../../_images/fig_lifetime166.png

(a) Phonon lifetime due to phonon-phonon scattering

../../_images/fig_scat_rates165.png

(b) Phonon scattering rates

Cumulative and spectral thermal conductivity

../../_images/fig_cumu_frequency166.png

(a) Spectral and cumulative thermal conductivity w.r.t frequency

../../_images/fig_cumu_mfp166.png

(b) Spectral and cumulative thermal conductivity w.r.t MFP

Force constants

../../_images/fig_fc2225.png

(a) Force constants w.r.t atomic distance

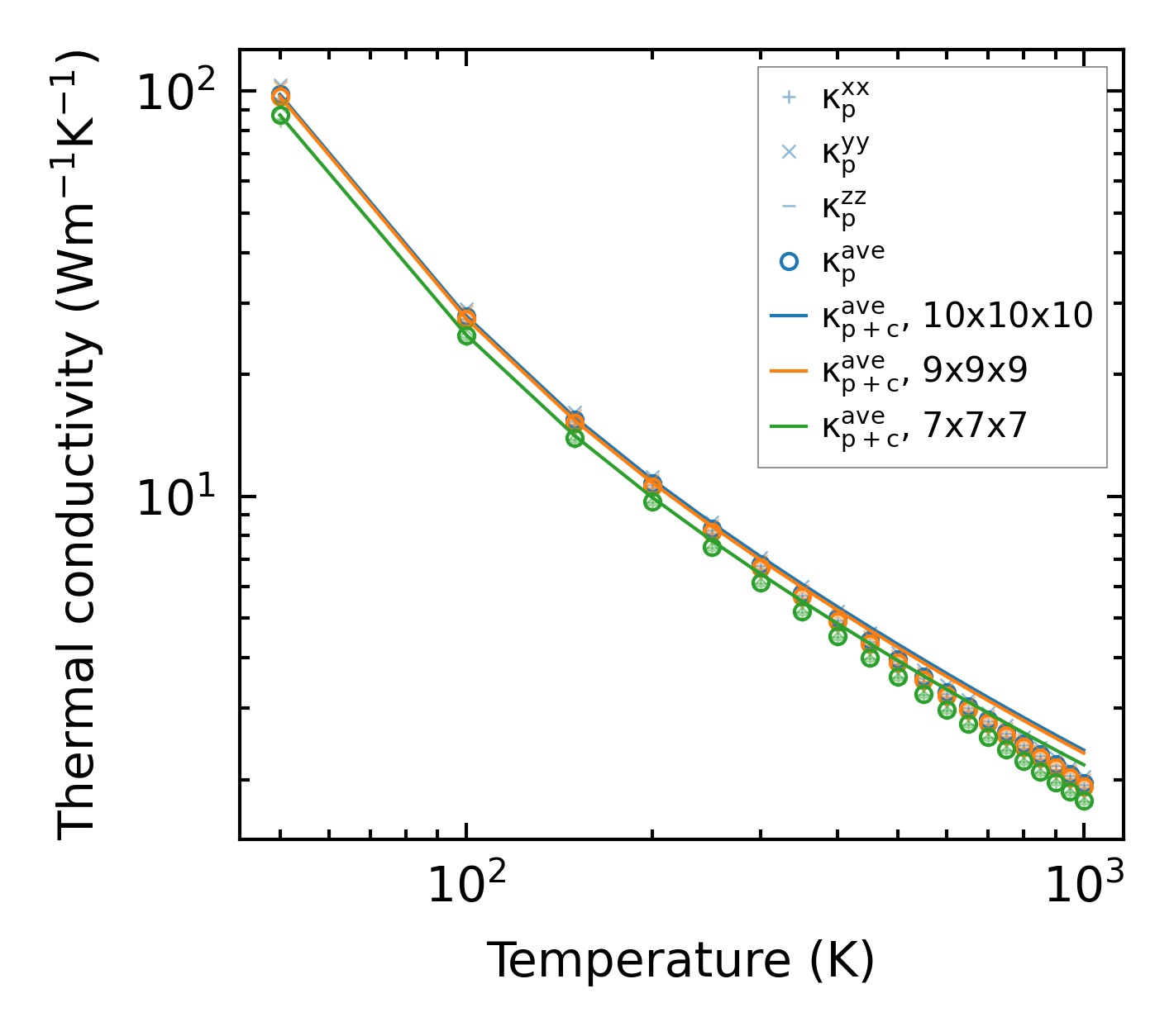
Summary

../../_images/fig_kappa325.png

(a) Temperature-dependent lattice thermal conductivity

../../_images/fig_times403.png

(b) Computation time