mp-1001017/ZnIn2Se4/anharm

Equation of state

../../_images/fig_bm60.png

(a) Equation of state

Harmonic properties

../../_images/fig_bandos_pr255.png

(a) Phonon dispersion with participation ratio and DOS

../../_images/fig_bandos252.png

(b) Phonon dispersion and DOS

../../_images/fig_thermo255.png

(c) Thermodynamic properties

Grüneisen parameters

../../_images/fig_gru_all170.png

(a) Grüneisen parameters

../../_images/fig_gruneisen170.png

(b) Phonon dispersion with Grüneisen parameters

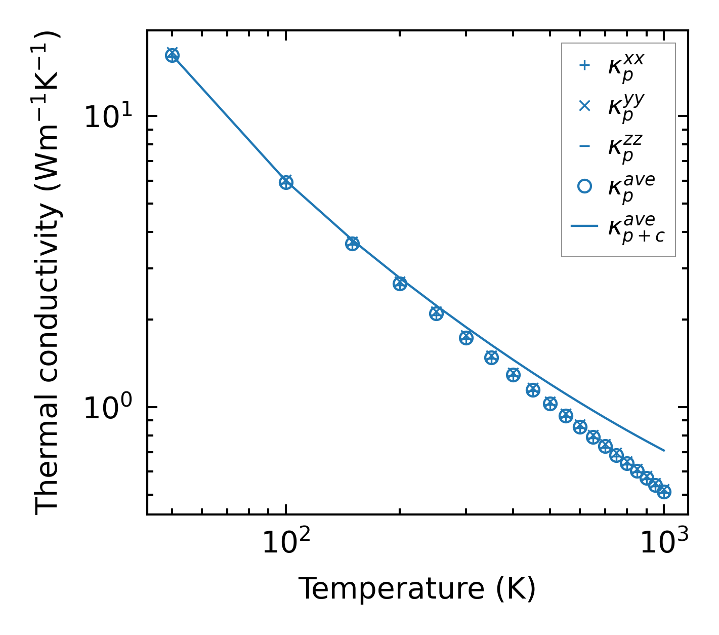
Thermal conductivity

3-phonon — q-mesh: 10x10x10, supercell: 1x1x1

../../_images/fig_kappa330.png

(a) Temperature-dependent lattice thermal conductivity

../../_images/fig_kappa_vs_grain_size171.png

(b) Peierls lattice thermal conductivity w.r.t grain size

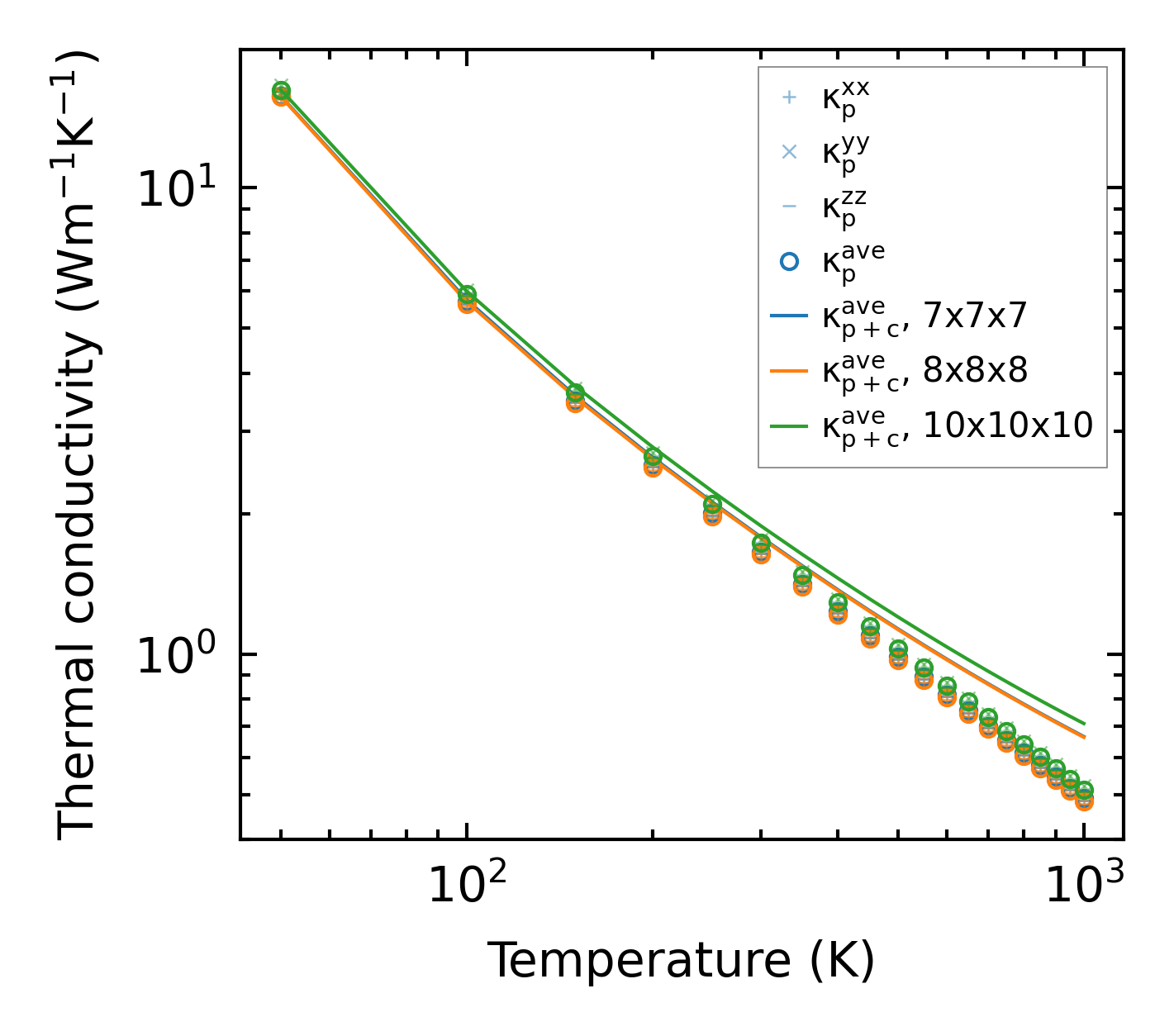
3-phonon, supercell 2x2x2 — q-mesh: 10x10x10, supercell: 2x2x2

../../_images/fig_kappa331.png

(a) Temperature-dependent lattice thermal conductivity

../../_images/fig_kappa_vs_grain_size172.png

(b) Peierls lattice thermal conductivity w.r.t grain size

Phonon lifetime and scattering rates

../../_images/fig_lifetime169.png

(a) Phonon lifetime due to phonon-phonon scattering

../../_images/fig_scat_rates168.png

(b) Phonon scattering rates

Cumulative and spectral thermal conductivity

../../_images/fig_cumu_frequency169.png

(a) Spectral and cumulative thermal conductivity w.r.t frequency

../../_images/fig_cumu_mfp169.png

(b) Spectral and cumulative thermal conductivity w.r.t MFP

Force constants

../../_images/fig_fc328.png

(a) Force constants w.r.t atomic distance

Summary

../../_images/fig_kappa332.png

(a) Temperature-dependent lattice thermal conductivity

../../_images/fig_times406.png

(b) Computation time