mp-1001015/Y2ZnS4/anharm

Harmonic properties

../../_images/fig_bandos_pr253.png

(a) Phonon dispersion with participation ratio and DOS

../../_images/fig_thermo253.png

(b) Thermodynamic properties

Grüneisen parameters

../../_images/fig_gru_all168.png

(a) Grüneisen parameters

../../_images/fig_gruneisen168.png

(b) Phonon dispersion with Grüneisen parameters

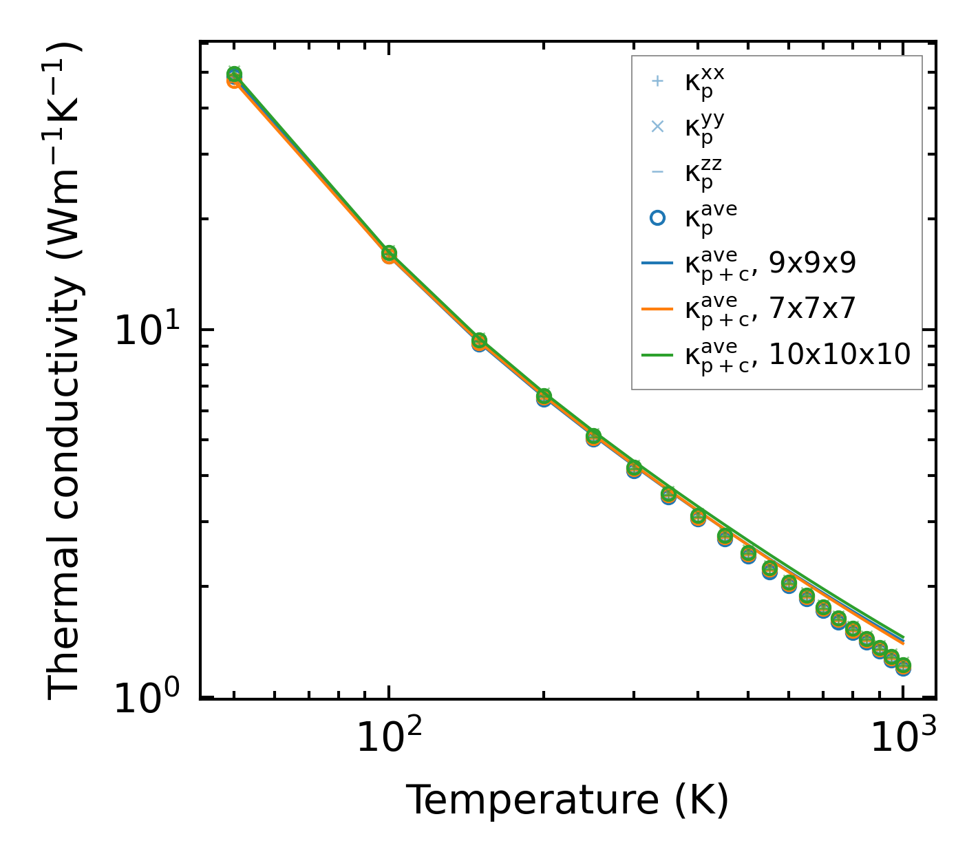
Thermal conductivity

3-phonon — q-mesh: 10x10x10, supercell: 1x1x1

../../_images/fig_kappa326.png

(a) Temperature-dependent lattice thermal conductivity

../../_images/fig_kappa_vs_grain_size169.png

(b) Peierls lattice thermal conductivity w.r.t grain size

Phonon lifetime and scattering rates

../../_images/fig_lifetime167.png

(a) Phonon lifetime due to phonon-phonon scattering

../../_images/fig_scat_rates166.png

(b) Phonon scattering rates

Cumulative and spectral thermal conductivity

../../_images/fig_cumu_frequency167.png

(a) Spectral and cumulative thermal conductivity w.r.t frequency

../../_images/fig_cumu_mfp167.png

(b) Spectral and cumulative thermal conductivity w.r.t MFP

Force constants

../../_images/fig_fc327.png

(a) Force constants w.r.t atomic distance

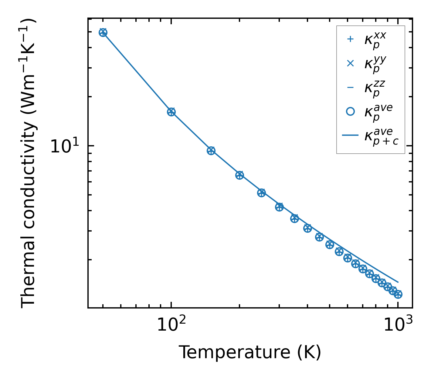
Summary

../../_images/fig_kappa327.png

(a) Temperature-dependent lattice thermal conductivity

../../_images/fig_times404.png

(b) Computation time