mp-998745-2/TlZnF3/anharm

Harmonic properties

../../_images/fig_bandos_pr747.png

(a) Phonon dispersion with participation ratio and DOS

../../_images/fig_thermo747.png

(b) Thermodynamic properties

Grüneisen parameters

../../_images/fig_gru_all502.png

(a) Grüneisen parameters

../../_images/fig_gruneisen502.png

(b) Phonon dispersion with Grüneisen parameters

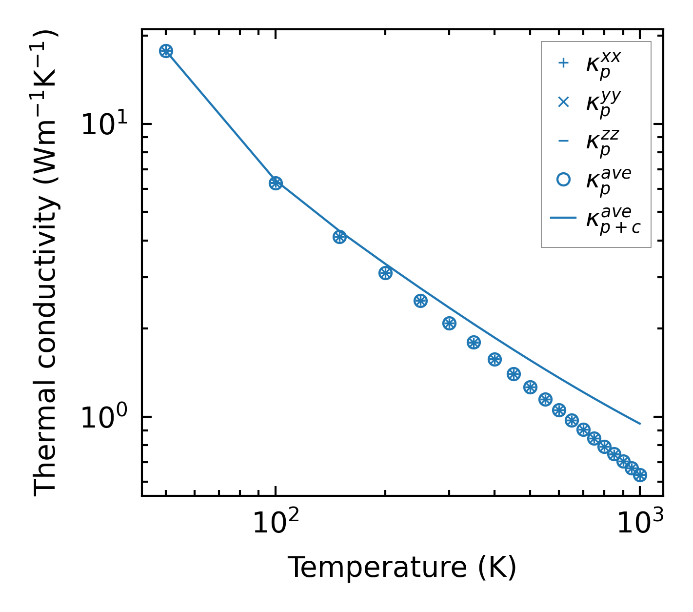
Thermal conductivity

3-phonon (LASSO) — q-mesh: 17x17x17, supercell: 3x3x3

../../_images/fig_kappa977.png

(a) Temperature-dependent lattice thermal conductivity

../../_images/fig_kappa_vs_grain_size509.png

(b) Peierls lattice thermal conductivity w.r.t grain size

Phonon lifetime and scattering rates

../../_images/fig_lifetime500.png

(a) Phonon lifetime due to phonon-phonon scattering

../../_images/fig_scat_rates499.png

(b) Phonon scattering rates

Cumulative and spectral thermal conductivity

../../_images/fig_cumu_frequency500.png

(a) Spectral and cumulative thermal conductivity w.r.t frequency

../../_images/fig_cumu_mfp500.png

(b) Spectral and cumulative thermal conductivity w.r.t MFP

Force constants

../../_images/fig_fc2650.png

(a) Force constants w.r.t atomic distance

Summary

../../_images/fig_kappa978.png

(a) Temperature-dependent lattice thermal conductivity

../../_images/fig_times1121.png

(b) Computation time