mp-998604/RbPbCl3/anharm

Harmonic properties

../../_images/fig_bandos_pr745.png

(a) Phonon dispersion with participation ratio and DOS

../../_images/fig_thermo745.png

(b) Thermodynamic properties

Grüneisen parameters

../../_images/fig_gru_all500.png

(a) Grüneisen parameters

../../_images/fig_gruneisen500.png

(b) Phonon dispersion with Grüneisen parameters

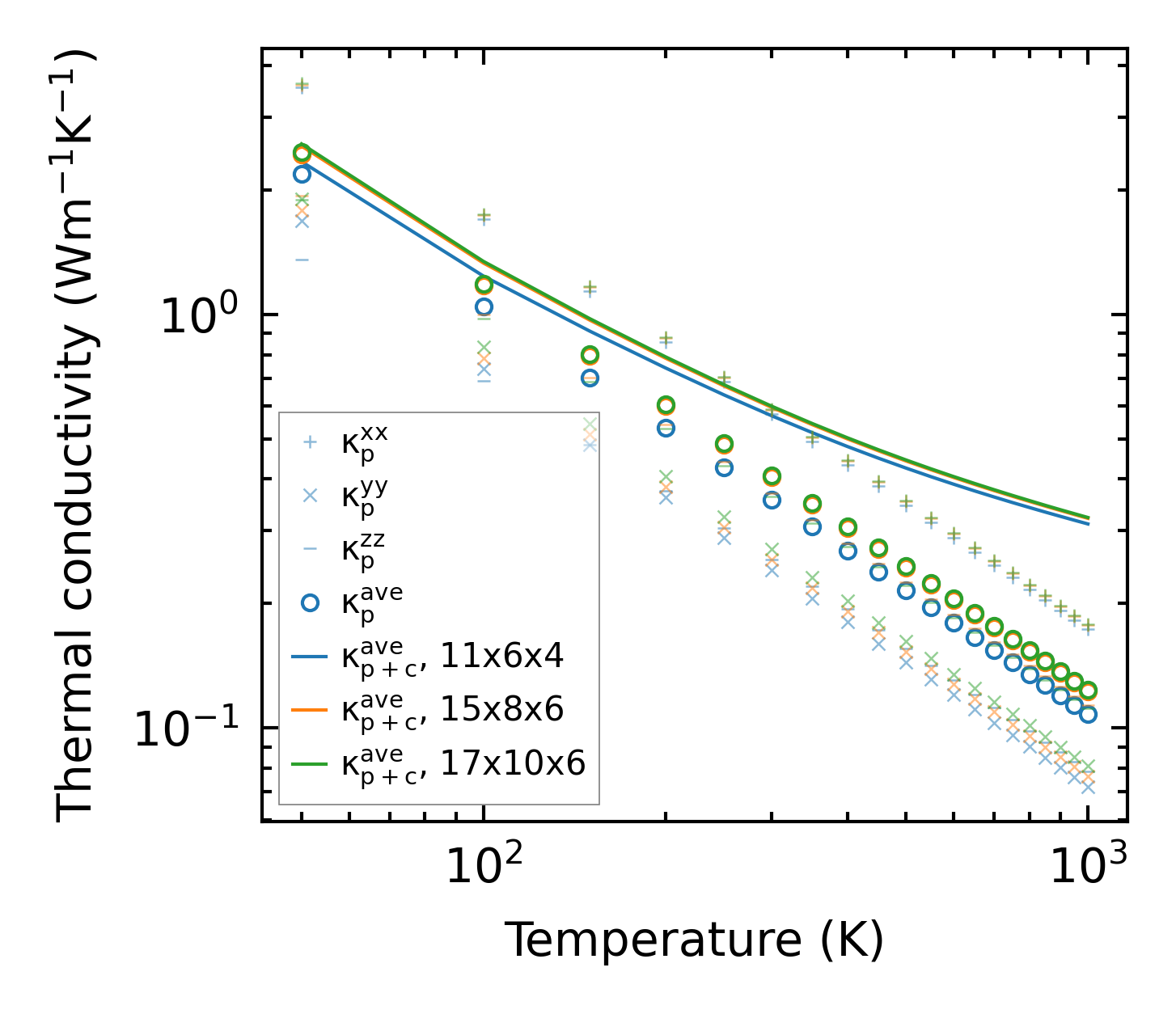
Thermal conductivity

3-phonon (LASSO) — q-mesh: 17x10x6, supercell: 3x2x2

../../_images/fig_kappa973.png

(a) Temperature-dependent lattice thermal conductivity

../../_images/fig_kappa_vs_grain_size507.png

(b) Peierls lattice thermal conductivity w.r.t grain size

Phonon lifetime and scattering rates

../../_images/fig_lifetime498.png

(a) Phonon lifetime due to phonon-phonon scattering

../../_images/fig_scat_rates497.png

(b) Phonon scattering rates

Cumulative and spectral thermal conductivity

../../_images/fig_cumu_frequency498.png

(a) Spectral and cumulative thermal conductivity w.r.t frequency

../../_images/fig_cumu_mfp498.png

(b) Spectral and cumulative thermal conductivity w.r.t MFP

Force constants

../../_images/fig_fc2648.png

(a) Force constants w.r.t atomic distance

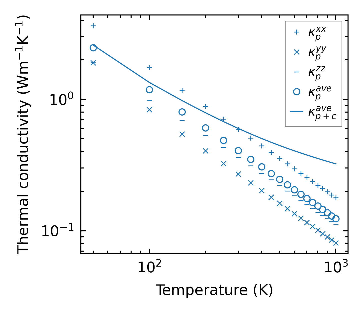
Summary

../../_images/fig_kappa974.png

(a) Temperature-dependent lattice thermal conductivity

../../_images/fig_times1107.png

(b) Computation time