mp-998603/RbPbBr3/anharm

Harmonic properties

../../_images/fig_bandos_pr744.png

(a) Phonon dispersion with participation ratio and DOS

../../_images/fig_thermo744.png

(b) Thermodynamic properties

Grüneisen parameters

../../_images/fig_gru_all499.png

(a) Grüneisen parameters

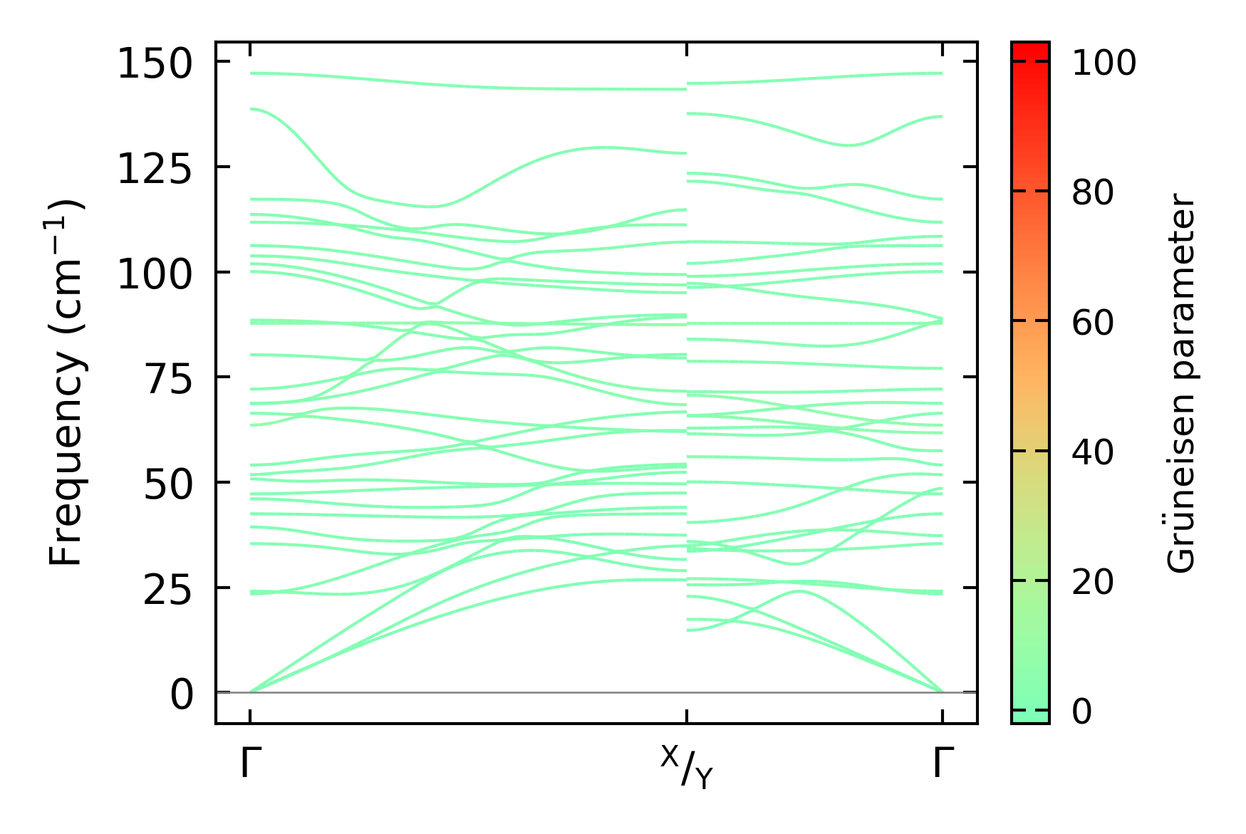
../../_images/fig_gruneisen499.png

(b) Phonon dispersion with Grüneisen parameters

Thermal conductivity

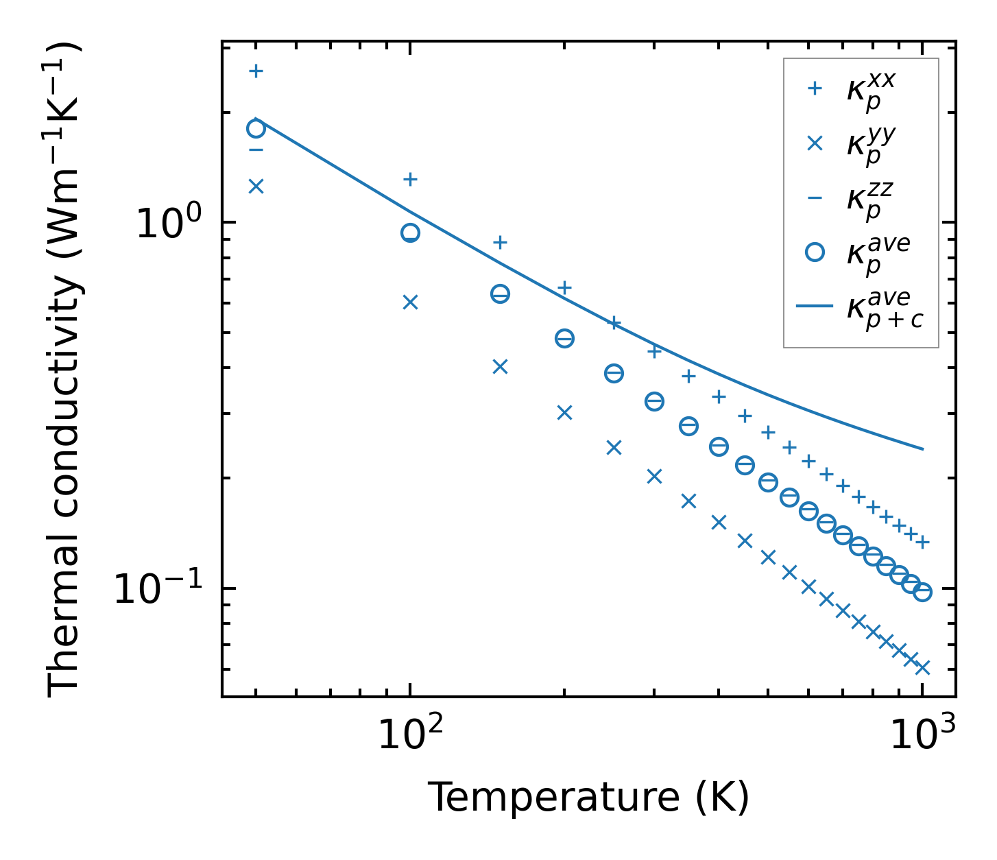
3-phonon (LASSO) — q-mesh: 16x9x6, supercell: 3x2x2

../../_images/fig_kappa971.png

(a) Temperature-dependent lattice thermal conductivity

../../_images/fig_kappa_vs_grain_size506.png

(b) Peierls lattice thermal conductivity w.r.t grain size

Phonon lifetime and scattering rates

../../_images/fig_lifetime497.png

(a) Phonon lifetime due to phonon-phonon scattering

../../_images/fig_scat_rates496.png

(b) Phonon scattering rates

Cumulative and spectral thermal conductivity

../../_images/fig_cumu_frequency497.png

(a) Spectral and cumulative thermal conductivity w.r.t frequency

../../_images/fig_cumu_mfp497.png

(b) Spectral and cumulative thermal conductivity w.r.t MFP

Force constants

../../_images/fig_fc2647.png

(a) Force constants w.r.t atomic distance

Summary

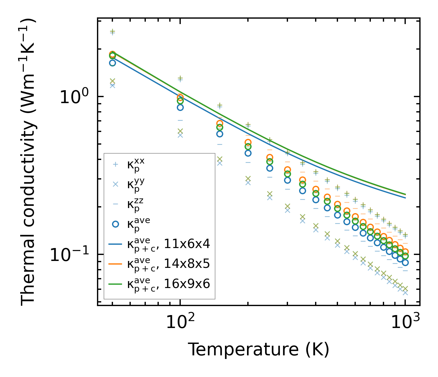
../../_images/fig_kappa972.png

(a) Temperature-dependent lattice thermal conductivity

../../_images/fig_times1106.png

(b) Computation time