mp-998599/KCaBr3/anharm

Harmonic properties

../../_images/fig_bandos_pr743.png

(a) Phonon dispersion with participation ratio and DOS

../../_images/fig_thermo743.png

(b) Thermodynamic properties

Grüneisen parameters

../../_images/fig_gru_all498.png

(a) Grüneisen parameters

../../_images/fig_gruneisen498.png

(b) Phonon dispersion with Grüneisen parameters

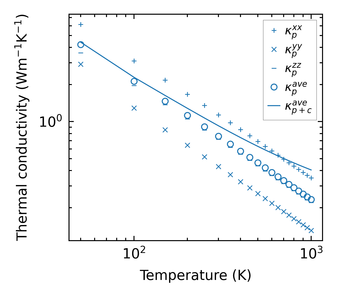
Thermal conductivity

3-phonon (LASSO) — q-mesh: 17x10x6, supercell: 3x2x2

../../_images/fig_kappa969.png

(a) Temperature-dependent lattice thermal conductivity

../../_images/fig_kappa_vs_grain_size505.png

(b) Peierls lattice thermal conductivity w.r.t grain size

Phonon lifetime and scattering rates

../../_images/fig_lifetime496.png

(a) Phonon lifetime due to phonon-phonon scattering

../../_images/fig_scat_rates495.png

(b) Phonon scattering rates

Cumulative and spectral thermal conductivity

../../_images/fig_cumu_frequency496.png

(a) Spectral and cumulative thermal conductivity w.r.t frequency

../../_images/fig_cumu_mfp496.png

(b) Spectral and cumulative thermal conductivity w.r.t MFP

Force constants

../../_images/fig_fc2646.png

(a) Force constants w.r.t atomic distance

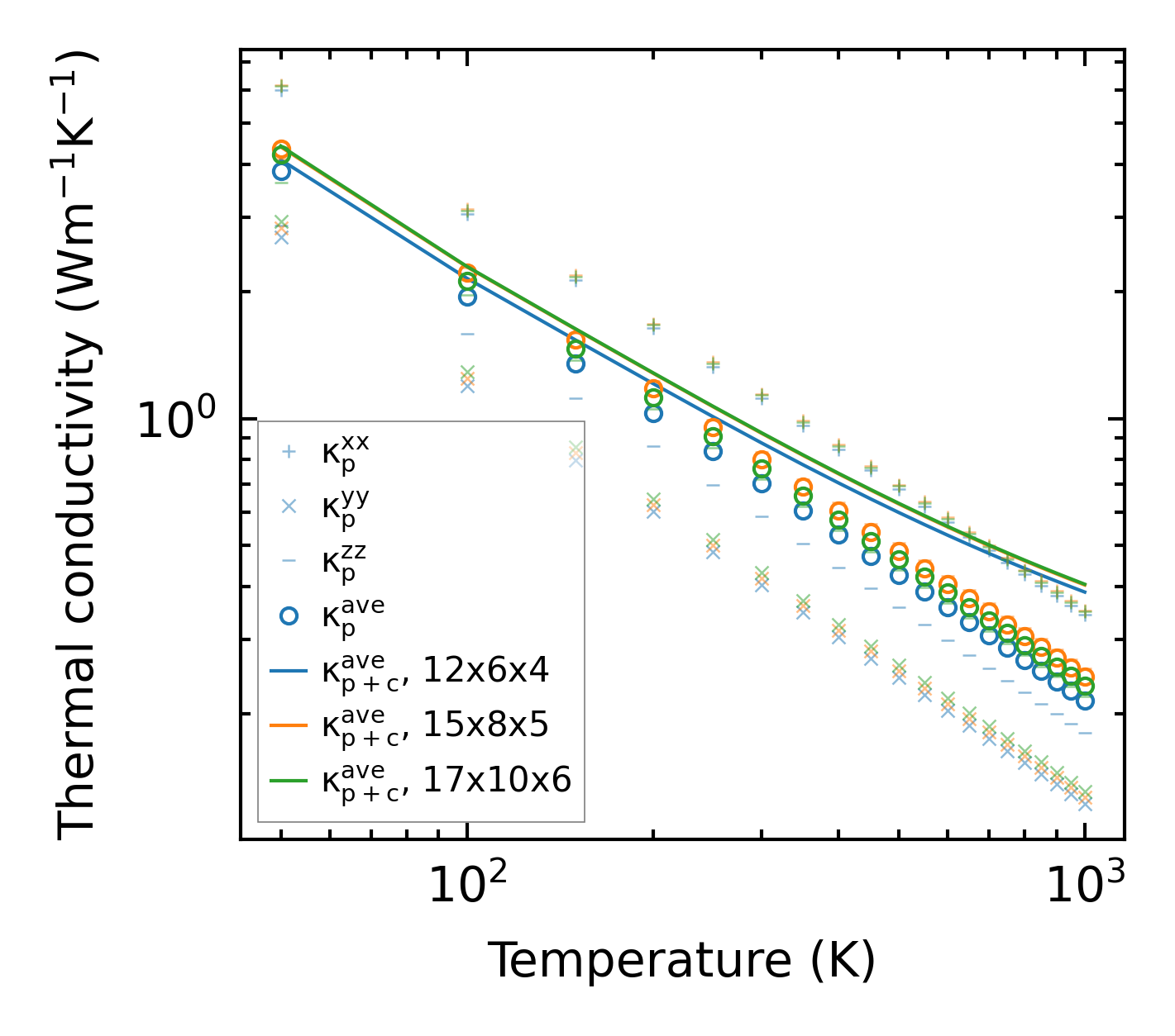
Summary

../../_images/fig_kappa970.png

(a) Temperature-dependent lattice thermal conductivity

../../_images/fig_times1103.png

(b) Computation time