mp-998419/BaHfS3/anharm

Harmonic properties

../../_images/fig_bandos_pr737.png

(a) Phonon dispersion with participation ratio and DOS

../../_images/fig_thermo737.png

(b) Thermodynamic properties

Grüneisen parameters

../../_images/fig_gru_all492.png

(a) Grüneisen parameters

../../_images/fig_gruneisen492.png

(b) Phonon dispersion with Grüneisen parameters

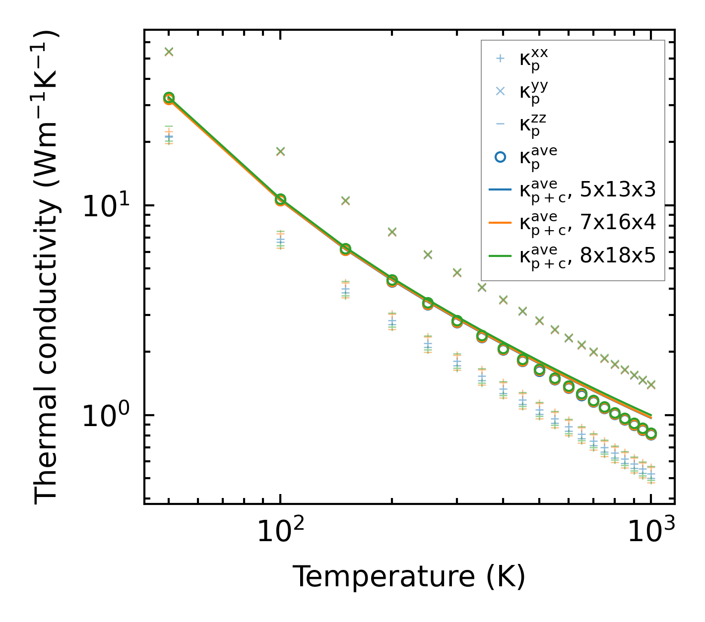
Thermal conductivity

3-phonon (LASSO) — q-mesh: 8x18x5, supercell: 2x3x1

../../_images/fig_kappa957.png

(a) Temperature-dependent lattice thermal conductivity

../../_images/fig_kappa_vs_grain_size499.png

(b) Peierls lattice thermal conductivity w.r.t grain size

Phonon lifetime and scattering rates

../../_images/fig_lifetime490.png

(a) Phonon lifetime due to phonon-phonon scattering

../../_images/fig_scat_rates489.png

(b) Phonon scattering rates

Cumulative and spectral thermal conductivity

../../_images/fig_cumu_frequency490.png

(a) Spectral and cumulative thermal conductivity w.r.t frequency

../../_images/fig_cumu_mfp490.png

(b) Spectral and cumulative thermal conductivity w.r.t MFP

Force constants

../../_images/fig_fc2640.png

(a) Force constants w.r.t atomic distance

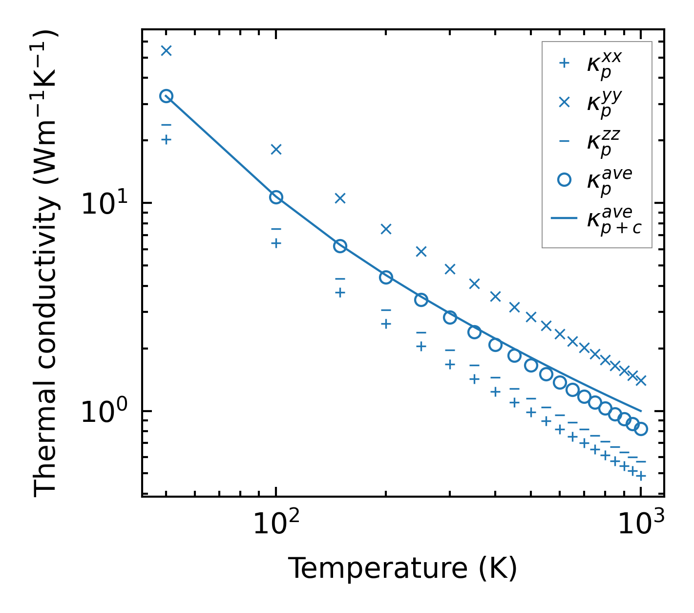
Summary

../../_images/fig_kappa958.png

(a) Temperature-dependent lattice thermal conductivity

../../_images/fig_times1091.png

(b) Computation time