mp-978847/SrGaGeH/anharm

Harmonic properties

../../_images/fig_bandos_pr1066.png

(a) Phonon dispersion with participation ratio and DOS

../../_images/fig_thermo1066.png

(b) Thermodynamic properties

Grüneisen parameters

../../_images/fig_gru_all654.png

(a) Grüneisen parameters

../../_images/fig_gruneisen654.png

(b) Phonon dispersion with Grüneisen parameters

Thermal conductivity

3-phonon (LASSO) — q-mesh: 17x17x15, supercell: 3x3x3

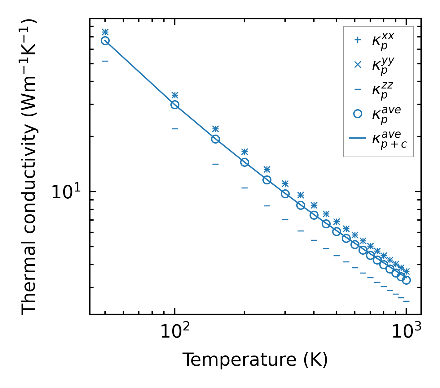
../../_images/fig_kappa1274.png

(a) Temperature-dependent lattice thermal conductivity

../../_images/fig_kappa_vs_grain_size662.png

(b) Peierls lattice thermal conductivity w.r.t grain size

Phonon lifetime and scattering rates

../../_images/fig_lifetime652.png

(a) Phonon lifetime due to phonon-phonon scattering

../../_images/fig_scat_rates651.png

(b) Phonon scattering rates

Cumulative and spectral thermal conductivity

../../_images/fig_cumu_frequency652.png

(a) Spectral and cumulative thermal conductivity w.r.t frequency

../../_images/fig_cumu_mfp652.png

(b) Spectral and cumulative thermal conductivity w.r.t MFP

Force constants

../../_images/fig_fc2934.png

(a) Force constants w.r.t atomic distance

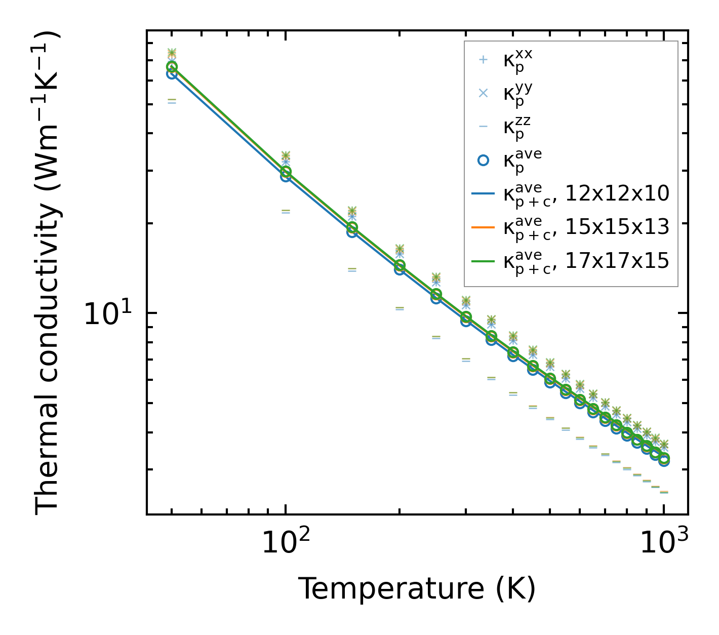
Summary

../../_images/fig_kappa1275.png

(a) Temperature-dependent lattice thermal conductivity

../../_images/fig_times1595.png

(b) Computation time