mp-978275/MgB7/anharm

Harmonic properties

../../_images/fig_bandos_pr1059.png

(a) Phonon dispersion with participation ratio and DOS

../../_images/fig_thermo1059.png

(b) Thermodynamic properties

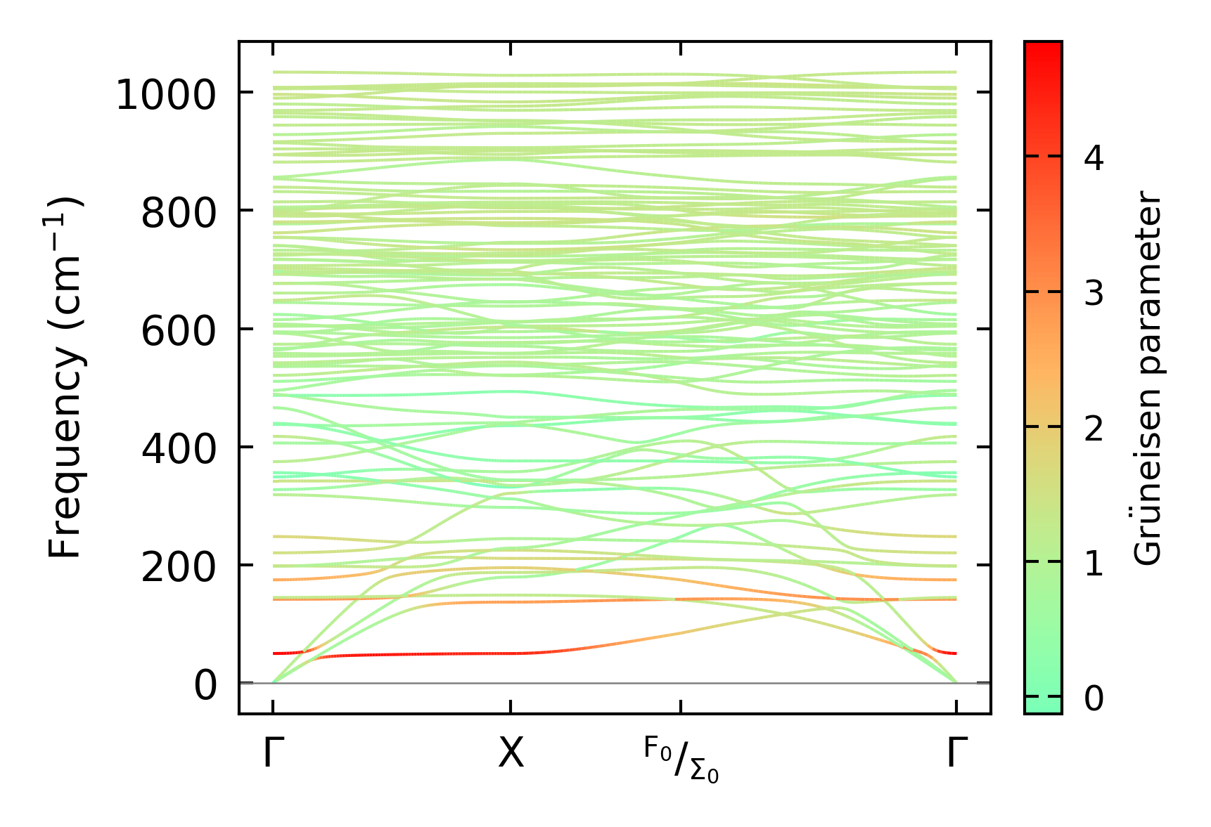
Grüneisen parameters

../../_images/fig_gru_all647.png

(a) Grüneisen parameters

../../_images/fig_gruneisen647.png

(b) Phonon dispersion with Grüneisen parameters

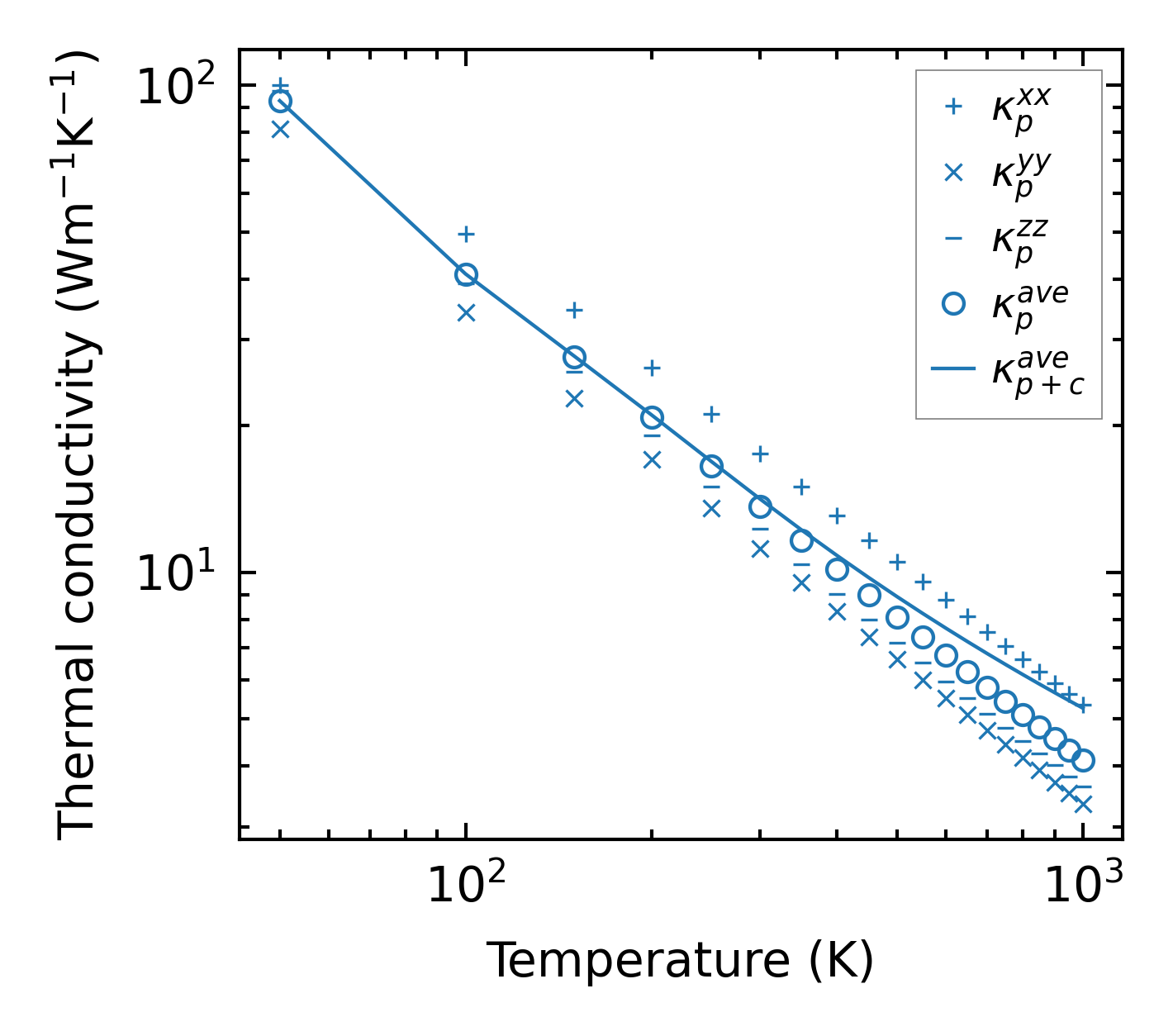
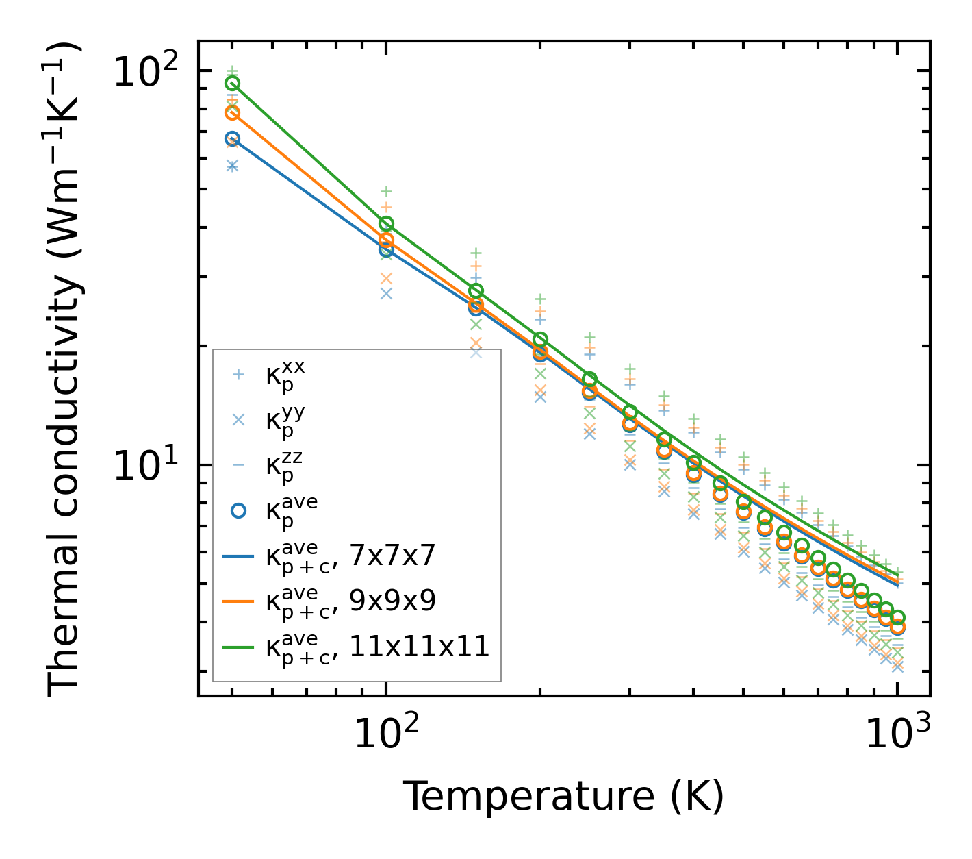
Thermal conductivity

3-phonon (LASSO) — q-mesh: 11x11x11, supercell: 2x1x1

../../_images/fig_kappa1260.png

(a) Temperature-dependent lattice thermal conductivity

../../_images/fig_kappa_vs_grain_size655.png

(b) Peierls lattice thermal conductivity w.r.t grain size

Phonon lifetime and scattering rates

../../_images/fig_lifetime645.png

(a) Phonon lifetime due to phonon-phonon scattering

../../_images/fig_scat_rates644.png

(b) Phonon scattering rates

Cumulative and spectral thermal conductivity

../../_images/fig_cumu_frequency645.png

(a) Spectral and cumulative thermal conductivity w.r.t frequency

../../_images/fig_cumu_mfp645.png

(b) Spectral and cumulative thermal conductivity w.r.t MFP

Force constants

../../_images/fig_fc2927.png

(a) Force constants w.r.t atomic distance

Summary

../../_images/fig_kappa1261.png

(a) Temperature-dependent lattice thermal conductivity

../../_images/fig_times1582.png

(b) Computation time