mp-978844/SrCa3O4/anharm

Harmonic properties

../../_images/fig_bandos_pr1065.png

(a) Phonon dispersion with participation ratio and DOS

../../_images/fig_thermo1065.png

(b) Thermodynamic properties

Grüneisen parameters

../../_images/fig_gru_all653.png

(a) Grüneisen parameters

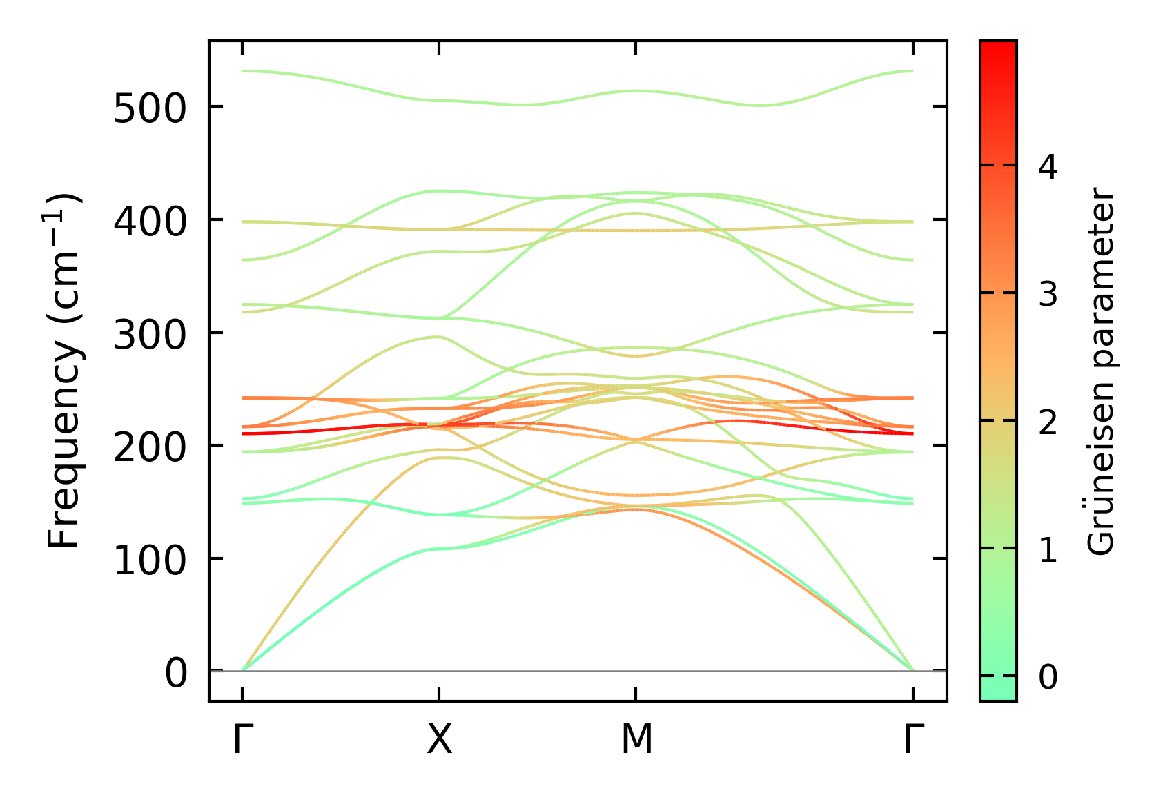
../../_images/fig_gruneisen653.png

(b) Phonon dispersion with Grüneisen parameters

Thermal conductivity

3-phonon (LASSO) — q-mesh: 14x14x14, supercell: 2x2x2

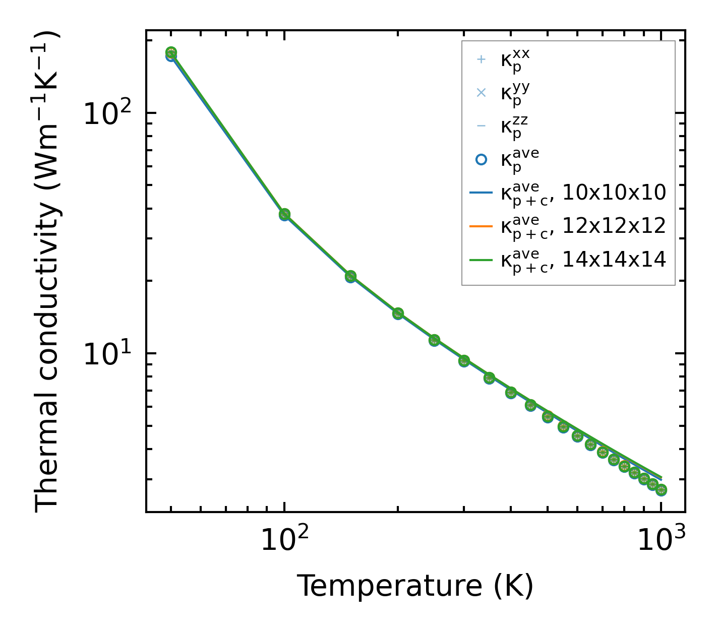
../../_images/fig_kappa1272.png

(a) Temperature-dependent lattice thermal conductivity

../../_images/fig_kappa_vs_grain_size661.png

(b) Peierls lattice thermal conductivity w.r.t grain size

Phonon lifetime and scattering rates

../../_images/fig_lifetime651.png

(a) Phonon lifetime due to phonon-phonon scattering

../../_images/fig_scat_rates650.png

(b) Phonon scattering rates

Cumulative and spectral thermal conductivity

../../_images/fig_cumu_frequency651.png

(a) Spectral and cumulative thermal conductivity w.r.t frequency

../../_images/fig_cumu_mfp651.png

(b) Spectral and cumulative thermal conductivity w.r.t MFP

Force constants

../../_images/fig_fc2933.png

(a) Force constants w.r.t atomic distance

Summary

../../_images/fig_kappa1273.png

(a) Temperature-dependent lattice thermal conductivity

../../_images/fig_times1593.png

(b) Computation time