mp-978553/SiAs2/anharm

Harmonic properties

../../_images/fig_bandos_pr1062.png

(a) Phonon dispersion with participation ratio and DOS

../../_images/fig_thermo1062.png

(b) Thermodynamic properties

Grüneisen parameters

../../_images/fig_gru_all650.png

(a) Grüneisen parameters

../../_images/fig_gruneisen650.png

(b) Phonon dispersion with Grüneisen parameters

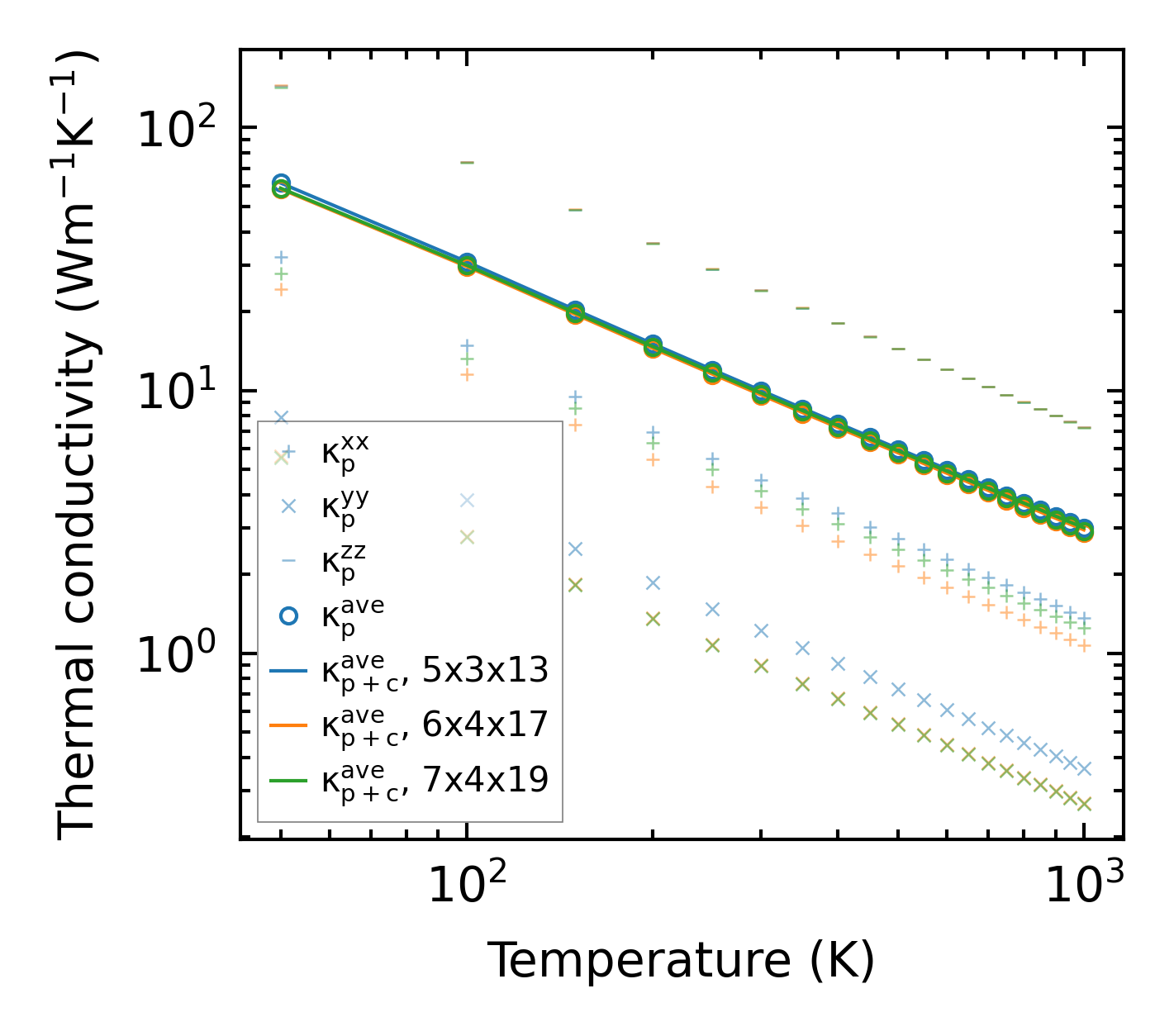
Thermal conductivity

3-phonon (LASSO) — q-mesh: 7x4x19, supercell: 2x1x3

../../_images/fig_kappa1266.png

(a) Temperature-dependent lattice thermal conductivity

../../_images/fig_kappa_vs_grain_size658.png

(b) Peierls lattice thermal conductivity w.r.t grain size

Phonon lifetime and scattering rates

../../_images/fig_lifetime648.png

(a) Phonon lifetime due to phonon-phonon scattering

../../_images/fig_scat_rates647.png

(b) Phonon scattering rates

Cumulative and spectral thermal conductivity

../../_images/fig_cumu_frequency648.png

(a) Spectral and cumulative thermal conductivity w.r.t frequency

../../_images/fig_cumu_mfp648.png

(b) Spectral and cumulative thermal conductivity w.r.t MFP

Force constants

../../_images/fig_fc2930.png

(a) Force constants w.r.t atomic distance

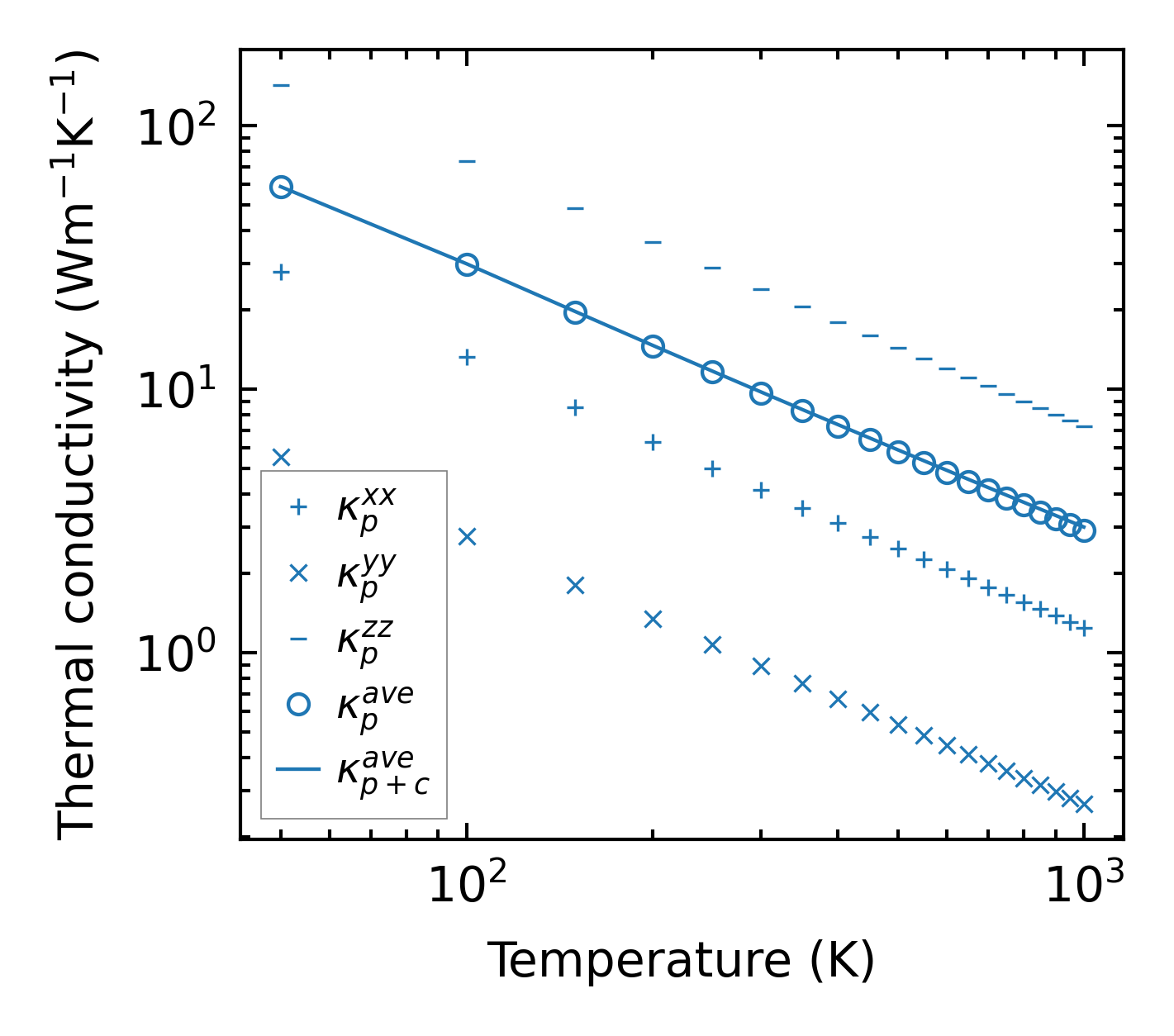
Summary

../../_images/fig_kappa1267.png

(a) Temperature-dependent lattice thermal conductivity

../../_images/fig_times1590.png

(b) Computation time