mp-978695/SmFeP/anharm

Harmonic properties

../../_images/fig_bandos_pr1063.png

(a) Phonon dispersion with participation ratio and DOS

../../_images/fig_thermo1063.png

(b) Thermodynamic properties

Grüneisen parameters

../../_images/fig_gru_all651.png

(a) Grüneisen parameters

../../_images/fig_gruneisen651.png

(b) Phonon dispersion with Grüneisen parameters

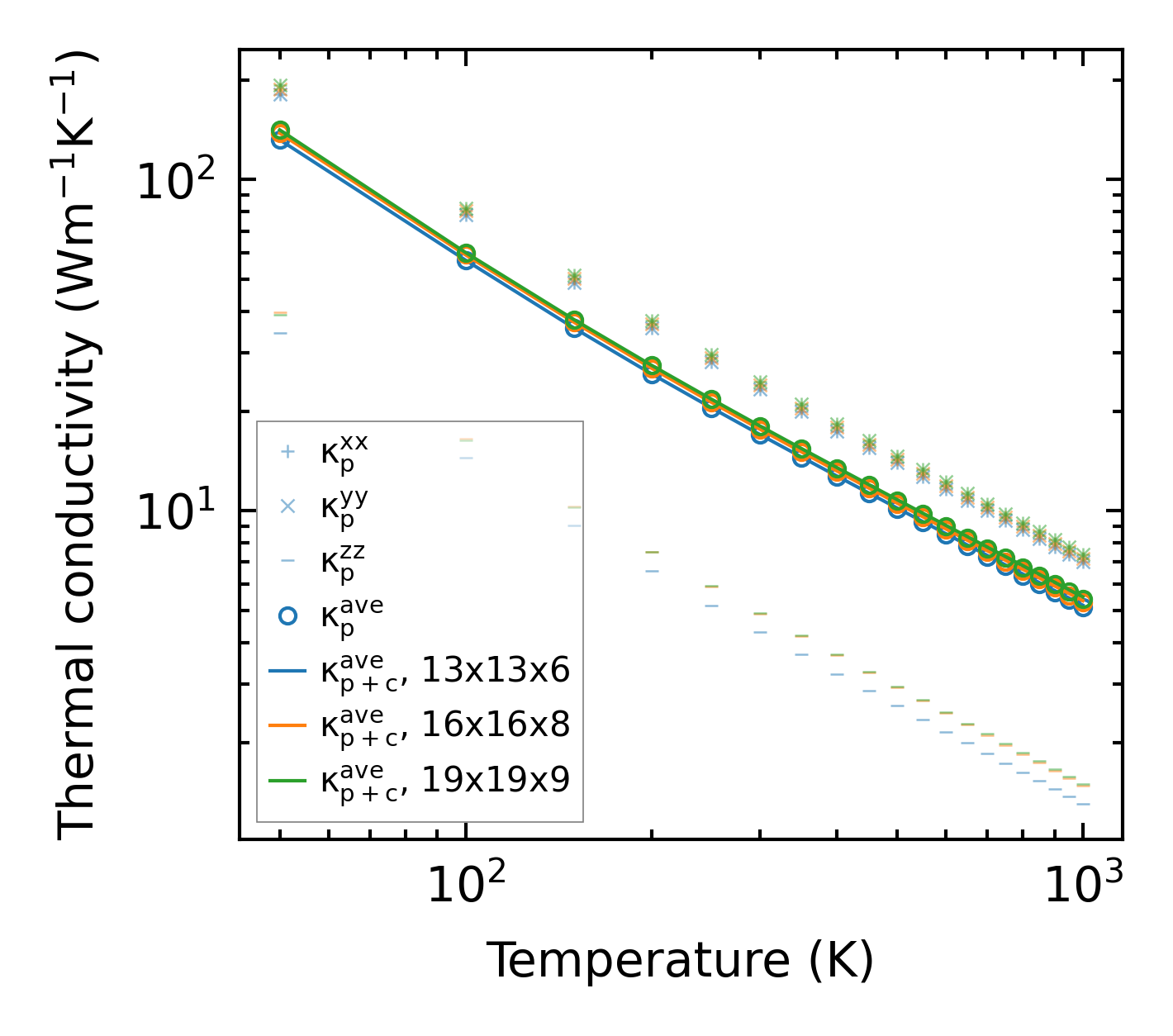
Thermal conductivity

3-phonon (LASSO) — q-mesh: 19x19x9, supercell: 3x3x2

../../_images/fig_kappa1268.png

(a) Temperature-dependent lattice thermal conductivity

../../_images/fig_kappa_vs_grain_size659.png

(b) Peierls lattice thermal conductivity w.r.t grain size

Phonon lifetime and scattering rates

../../_images/fig_lifetime649.png

(a) Phonon lifetime due to phonon-phonon scattering

../../_images/fig_scat_rates648.png

(b) Phonon scattering rates

Cumulative and spectral thermal conductivity

../../_images/fig_cumu_frequency649.png

(a) Spectral and cumulative thermal conductivity w.r.t frequency

../../_images/fig_cumu_mfp649.png

(b) Spectral and cumulative thermal conductivity w.r.t MFP

Force constants

../../_images/fig_fc2931.png

(a) Force constants w.r.t atomic distance

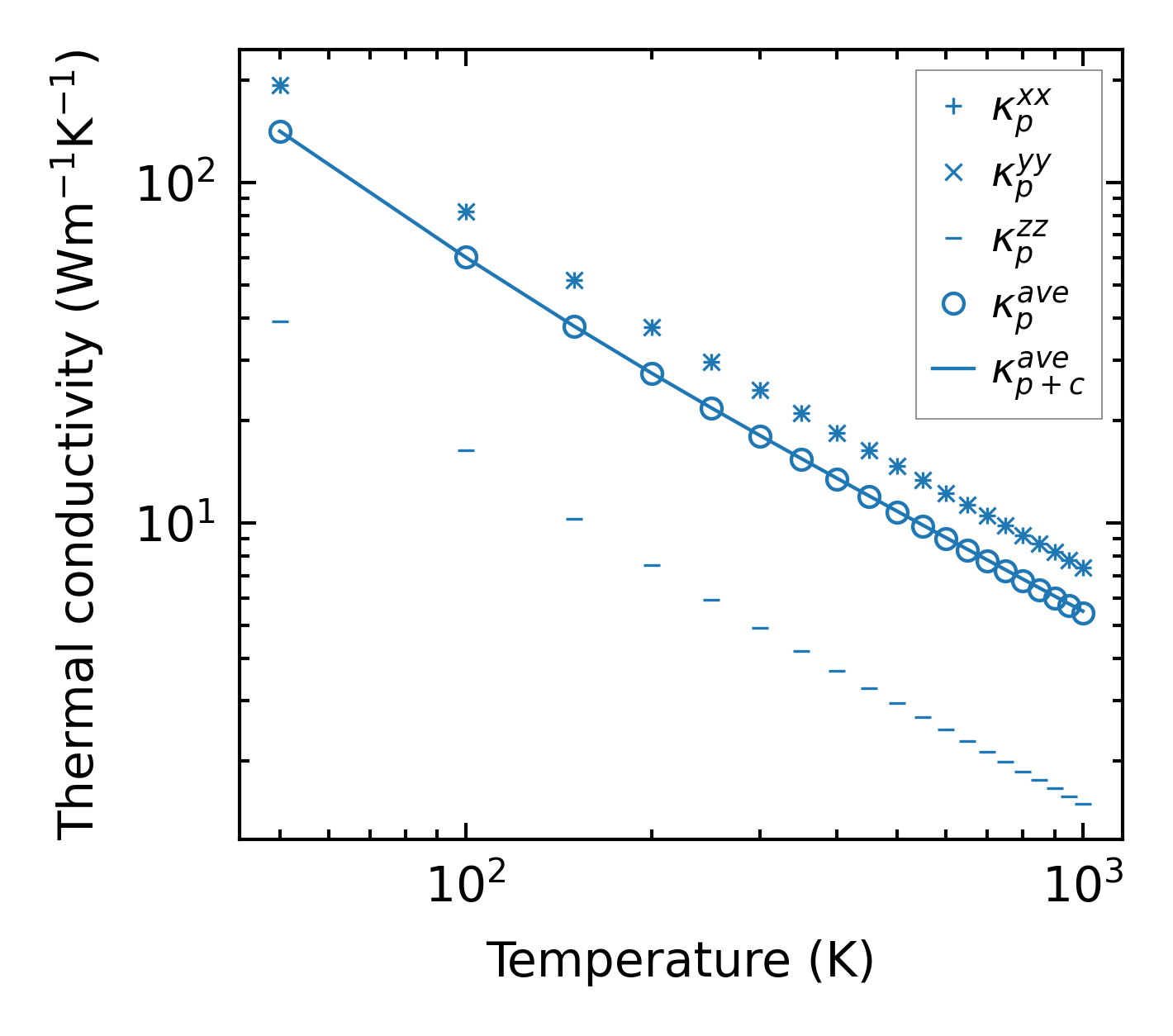
Summary

../../_images/fig_kappa1269.png

(a) Temperature-dependent lattice thermal conductivity

../../_images/fig_times1591.png

(b) Computation time