mp-867515/NaCoO2/anharm

Harmonic properties

../../_images/fig_bandos_pr1323.png

(a) Phonon dispersion with participation ratio and DOS

../../_images/fig_thermo1323.png

(b) Thermodynamic properties

Grüneisen parameters

../../_images/fig_gru_all818.png

(a) Grüneisen parameters

../../_images/fig_gruneisen818.png

(b) Phonon dispersion with Grüneisen parameters

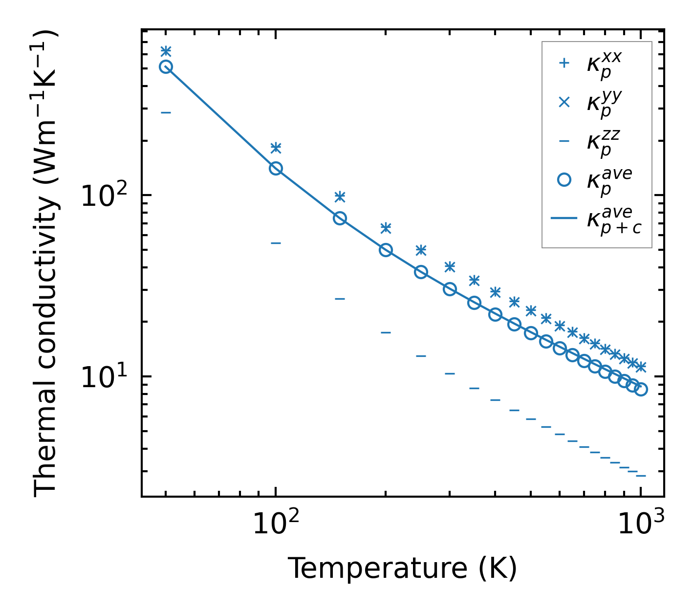
Thermal conductivity

3-phonon (LASSO) — q-mesh: 26x26x7, supercell: 4x2x1

../../_images/fig_kappa1587.png

(a) Temperature-dependent lattice thermal conductivity

../../_images/fig_kappa_vs_grain_size827.png

(b) Peierls lattice thermal conductivity w.r.t grain size

Phonon lifetime and scattering rates

../../_images/fig_lifetime812.png

(a) Phonon lifetime due to phonon-phonon scattering

../../_images/fig_scat_rates811.png

(b) Phonon scattering rates

Cumulative and spectral thermal conductivity

../../_images/fig_cumu_frequency812.png

(a) Spectral and cumulative thermal conductivity w.r.t frequency

../../_images/fig_cumu_mfp812.png

(b) Spectral and cumulative thermal conductivity w.r.t MFP

Force constants

../../_images/fig_fc21179.png

(a) Force constants w.r.t atomic distance

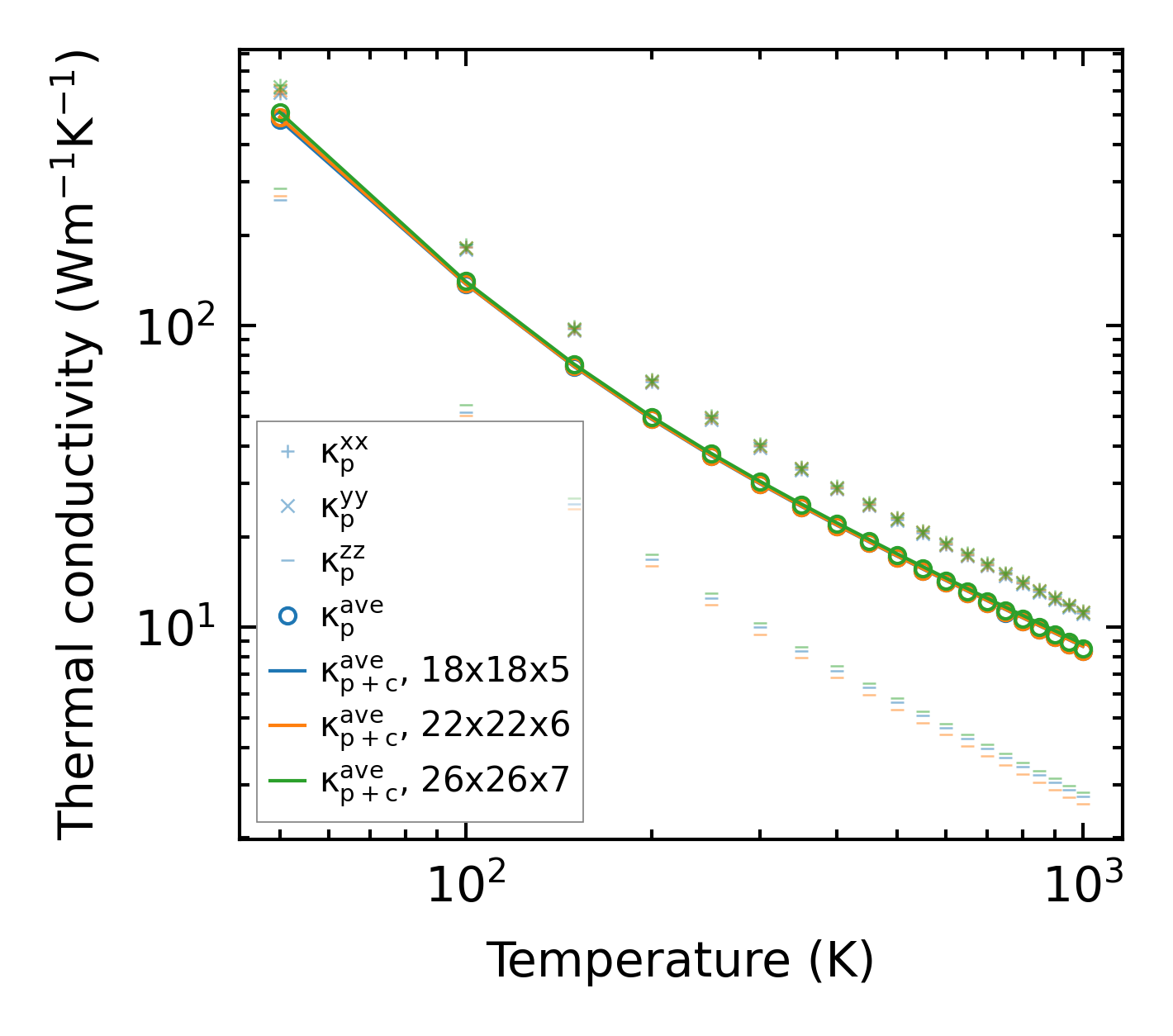
Summary

../../_images/fig_kappa1588.png

(a) Temperature-dependent lattice thermal conductivity

../../_images/fig_times1988.png

(b) Computation time