mp-867219/Sr2GaGeN/anharm

Harmonic properties

../../_images/fig_bandos_pr1313.png

(a) Phonon dispersion with participation ratio and DOS

../../_images/fig_thermo1313.png

(b) Thermodynamic properties

Grüneisen parameters

../../_images/fig_gru_all813.png

(a) Grüneisen parameters

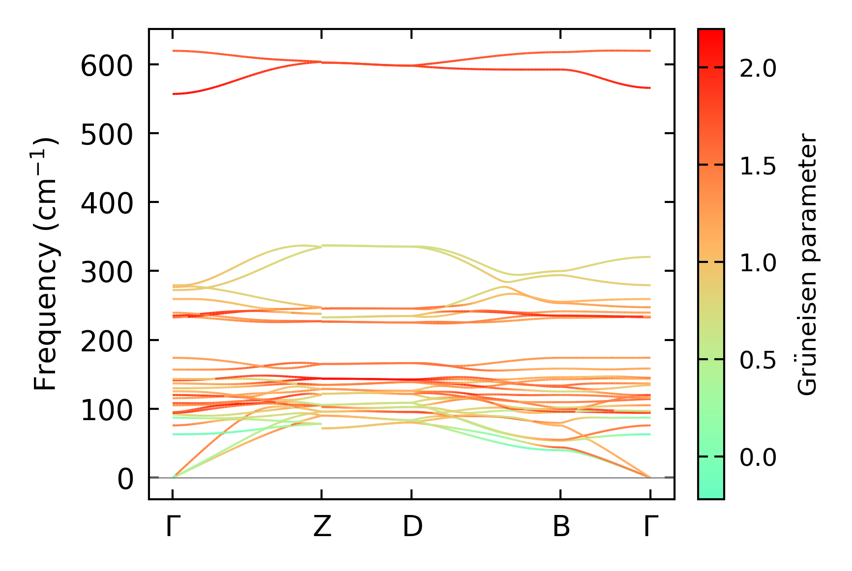
../../_images/fig_gruneisen813.png

(b) Phonon dispersion with Grüneisen parameters

Thermal conductivity

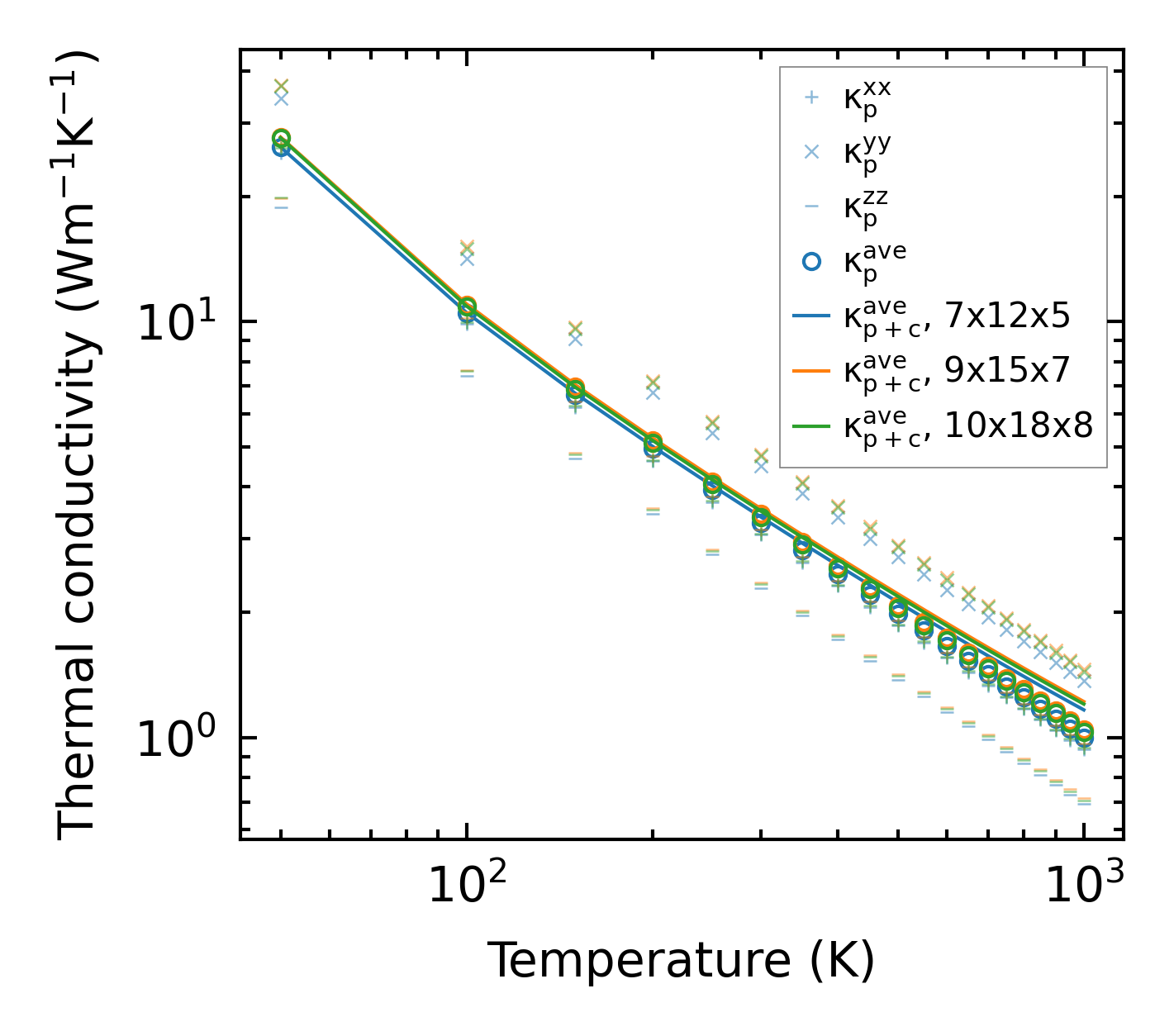
3-phonon (LASSO) — q-mesh: 10x18x8, supercell: 2x3x2

../../_images/fig_kappa1577.png

(a) Temperature-dependent lattice thermal conductivity

../../_images/fig_kappa_vs_grain_size822.png

(b) Peierls lattice thermal conductivity w.r.t grain size

Phonon lifetime and scattering rates

../../_images/fig_lifetime807.png

(a) Phonon lifetime due to phonon-phonon scattering

../../_images/fig_scat_rates806.png

(b) Phonon scattering rates

Cumulative and spectral thermal conductivity

../../_images/fig_cumu_frequency807.png

(a) Spectral and cumulative thermal conductivity w.r.t frequency

../../_images/fig_cumu_mfp807.png

(b) Spectral and cumulative thermal conductivity w.r.t MFP

Force constants

../../_images/fig_fc21170.png

(a) Force constants w.r.t atomic distance

Summary

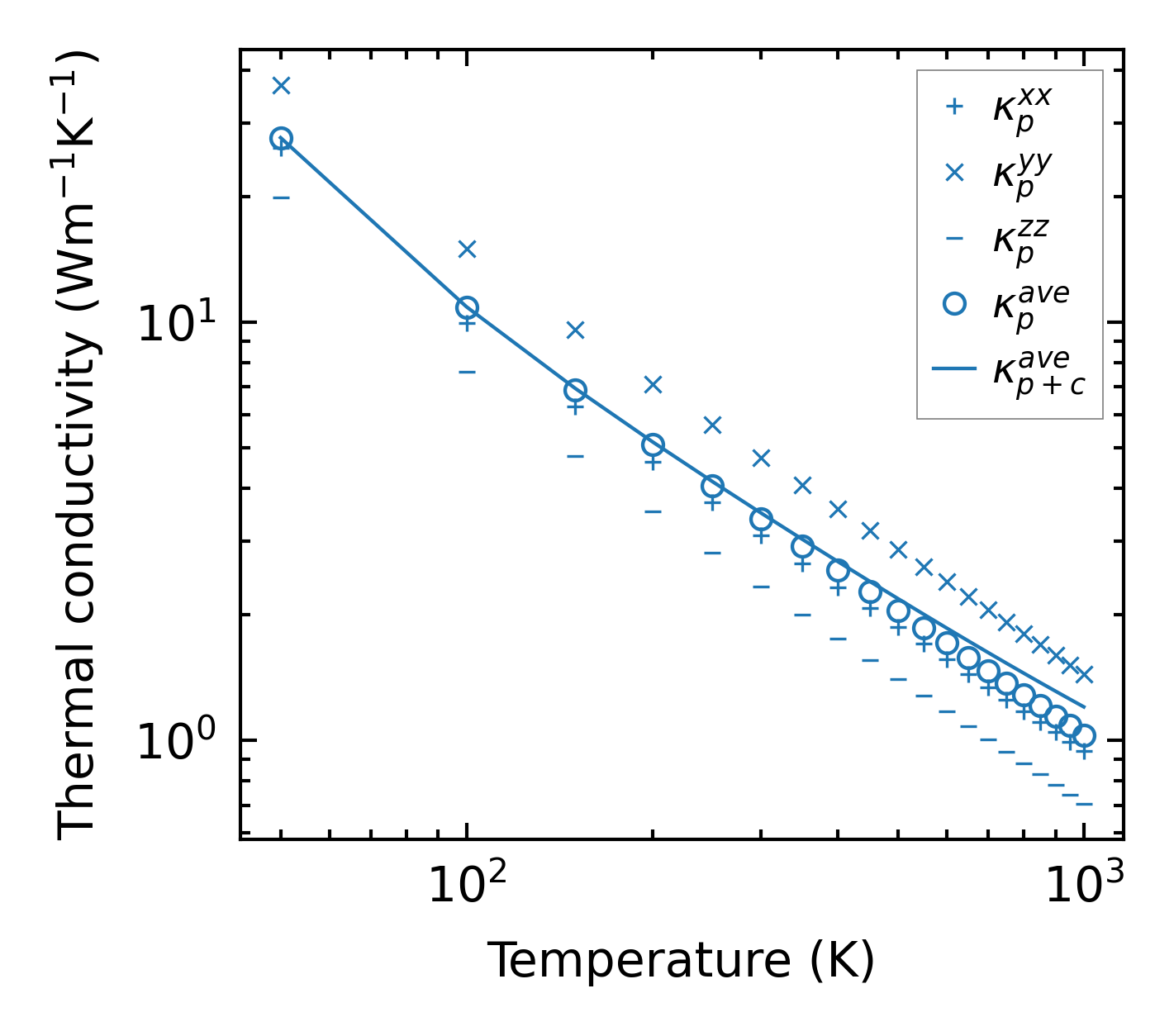
../../_images/fig_kappa1578.png

(a) Temperature-dependent lattice thermal conductivity

../../_images/fig_times1974.png

(b) Computation time