mp-867133/Ba2Sc2O5/anharm

Harmonic properties

../../_images/fig_bandos_pr1306.png

(a) Phonon dispersion with participation ratio and DOS

../../_images/fig_thermo1306.png

(b) Thermodynamic properties

Grüneisen parameters

../../_images/fig_gru_all806.png

(a) Grüneisen parameters

../../_images/fig_gruneisen806.png

(b) Phonon dispersion with Grüneisen parameters

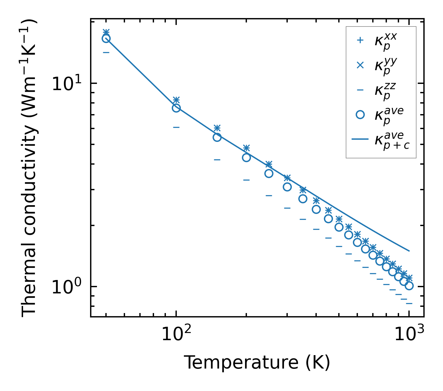
Thermal conductivity

3-phonon (LASSO) — q-mesh: 17x17x8, supercell: 2x2x2

../../_images/fig_kappa1565.png

(a) Temperature-dependent lattice thermal conductivity

../../_images/fig_kappa_vs_grain_size815.png

(b) Peierls lattice thermal conductivity w.r.t grain size

Phonon lifetime and scattering rates

../../_images/fig_lifetime800.png

(a) Phonon lifetime due to phonon-phonon scattering

../../_images/fig_scat_rates799.png

(b) Phonon scattering rates

Cumulative and spectral thermal conductivity

../../_images/fig_cumu_frequency800.png

(a) Spectral and cumulative thermal conductivity w.r.t frequency

../../_images/fig_cumu_mfp800.png

(b) Spectral and cumulative thermal conductivity w.r.t MFP

Force constants

../../_images/fig_fc21167.png

(a) Force constants w.r.t atomic distance

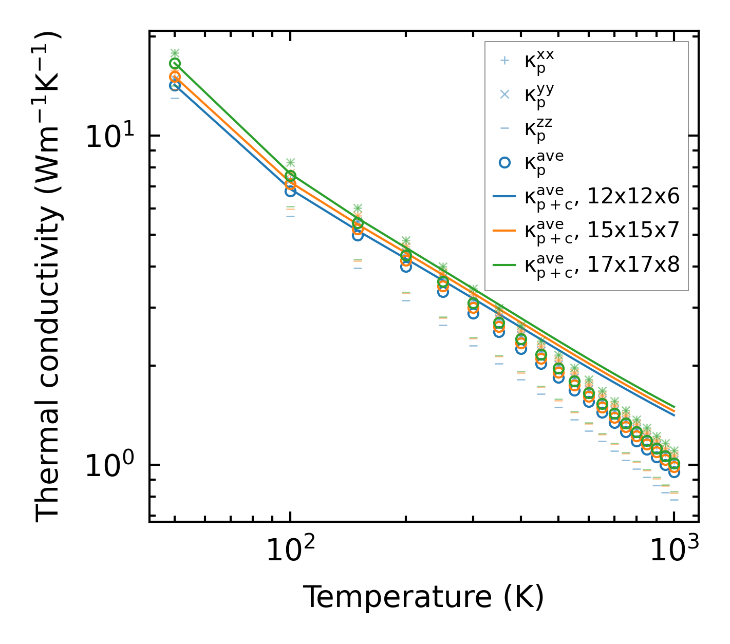
Summary

../../_images/fig_kappa1566.png

(a) Temperature-dependent lattice thermal conductivity

../../_images/fig_times1963.png

(b) Computation time