mp-867194/SrMg2As2/anharm

Harmonic properties

../../_images/fig_bandos_pr1311.png

(a) Phonon dispersion with participation ratio and DOS

../../_images/fig_thermo1311.png

(b) Thermodynamic properties

Grüneisen parameters

../../_images/fig_gru_all811.png

(a) Grüneisen parameters

../../_images/fig_gruneisen811.png

(b) Phonon dispersion with Grüneisen parameters

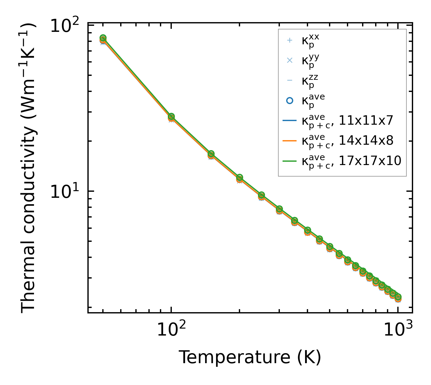
Thermal conductivity

3-phonon (LASSO) — q-mesh: 17x17x10, supercell: 3x3x2

../../_images/fig_kappa1573.png

(a) Temperature-dependent lattice thermal conductivity

../../_images/fig_kappa_vs_grain_size820.png

(b) Peierls lattice thermal conductivity w.r.t grain size

Phonon lifetime and scattering rates

../../_images/fig_lifetime805.png

(a) Phonon lifetime due to phonon-phonon scattering

../../_images/fig_scat_rates804.png

(b) Phonon scattering rates

Cumulative and spectral thermal conductivity

../../_images/fig_cumu_frequency805.png

(a) Spectral and cumulative thermal conductivity w.r.t frequency

../../_images/fig_cumu_mfp805.png

(b) Spectral and cumulative thermal conductivity w.r.t MFP

Force constants

../../_images/fig_fc21168.png

(a) Force constants w.r.t atomic distance

Summary

../../_images/fig_kappa1574.png

(a) Temperature-dependent lattice thermal conductivity

../../_images/fig_times1970.png

(b) Computation time