mp-867261/RbSrCO3F/anharm

Harmonic properties

../../_images/fig_bandos_pr1315.png

(a) Phonon dispersion with participation ratio and DOS

../../_images/fig_thermo1315.png

(b) Thermodynamic properties

Grüneisen parameters

../../_images/fig_gru_all815.png

(a) Grüneisen parameters

../../_images/fig_gruneisen815.png

(b) Phonon dispersion with Grüneisen parameters

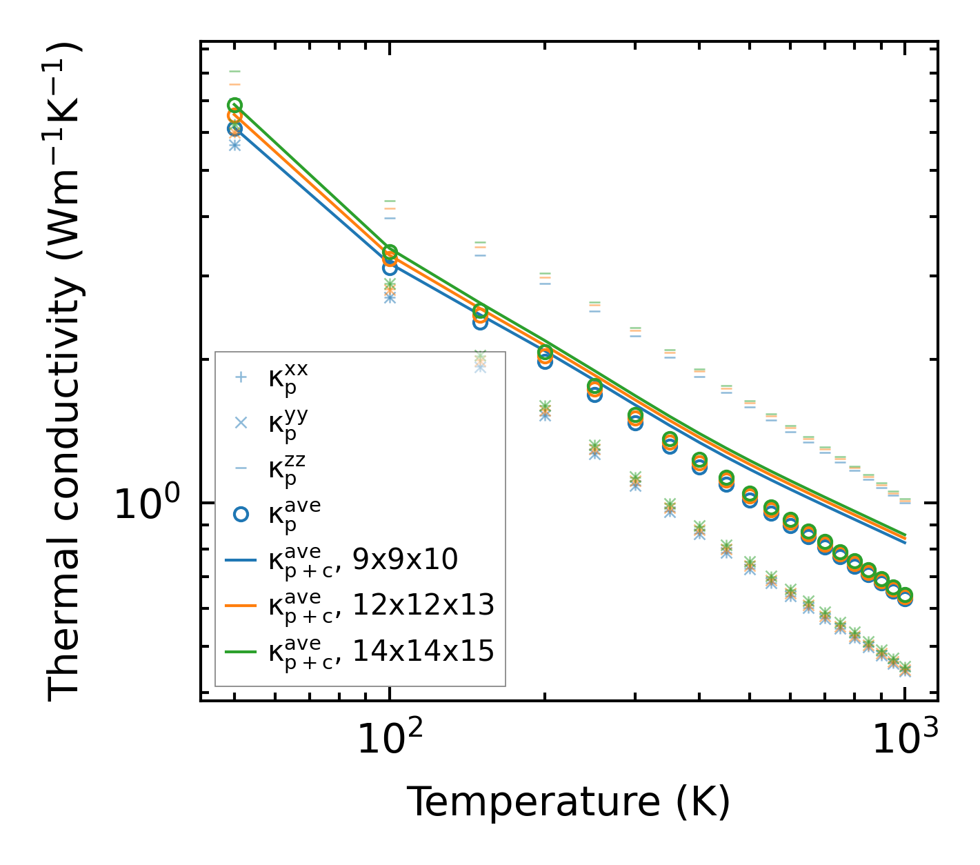
Thermal conductivity

3-phonon (LASSO) — q-mesh: 14x14x15, supercell: 2x2x3

../../_images/fig_kappa1581.png

(a) Temperature-dependent lattice thermal conductivity

../../_images/fig_kappa_vs_grain_size824.png

(b) Peierls lattice thermal conductivity w.r.t grain size

Phonon lifetime and scattering rates

../../_images/fig_lifetime809.png

(a) Phonon lifetime due to phonon-phonon scattering

../../_images/fig_scat_rates808.png

(b) Phonon scattering rates

Cumulative and spectral thermal conductivity

../../_images/fig_cumu_frequency809.png

(a) Spectral and cumulative thermal conductivity w.r.t frequency

../../_images/fig_cumu_mfp809.png

(b) Spectral and cumulative thermal conductivity w.r.t MFP

Force constants

../../_images/fig_fc21171.png

(a) Force constants w.r.t atomic distance

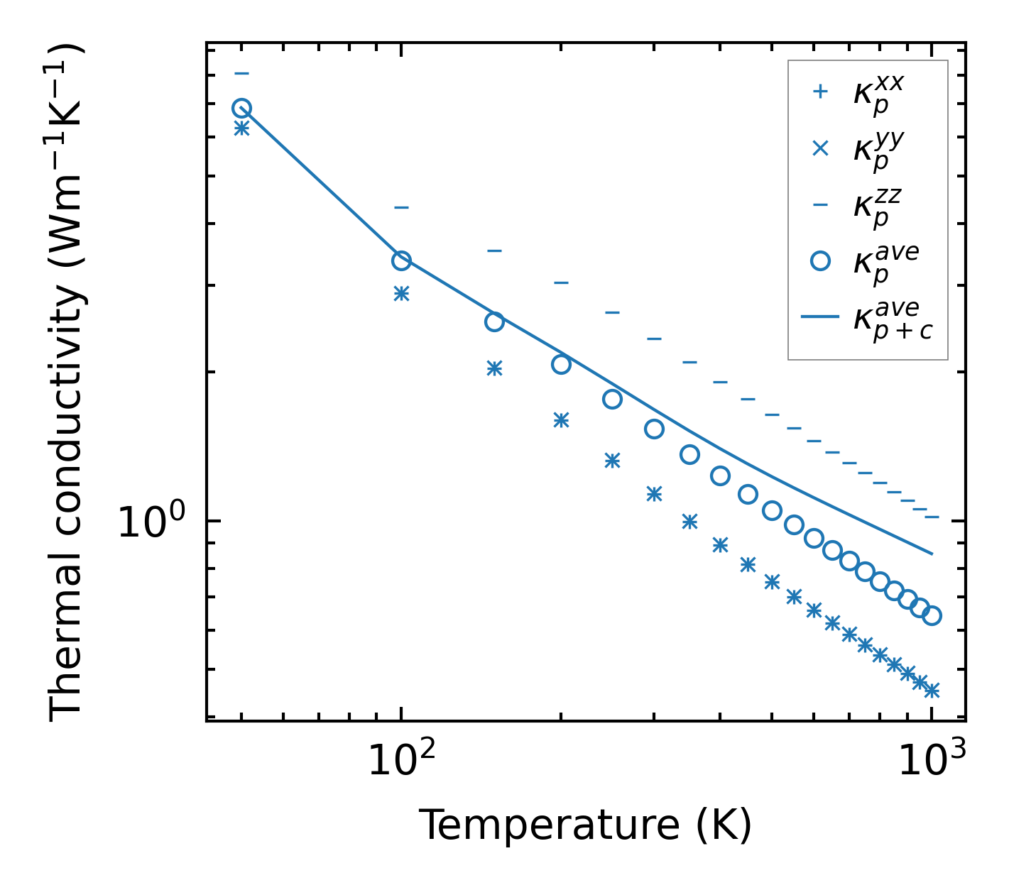
Summary

../../_images/fig_kappa1582.png

(a) Temperature-dependent lattice thermal conductivity

../../_images/fig_times1976.png

(b) Computation time