mp-779916-2/Li2CuPO4/harm

Equation of state

../../_images/fig_bm1002.png

(a) Equation of state

Harmonic properties

../../_images/fig_bandos_pr2226.png

(a) Phonon dispersion with participation ratio and DOS

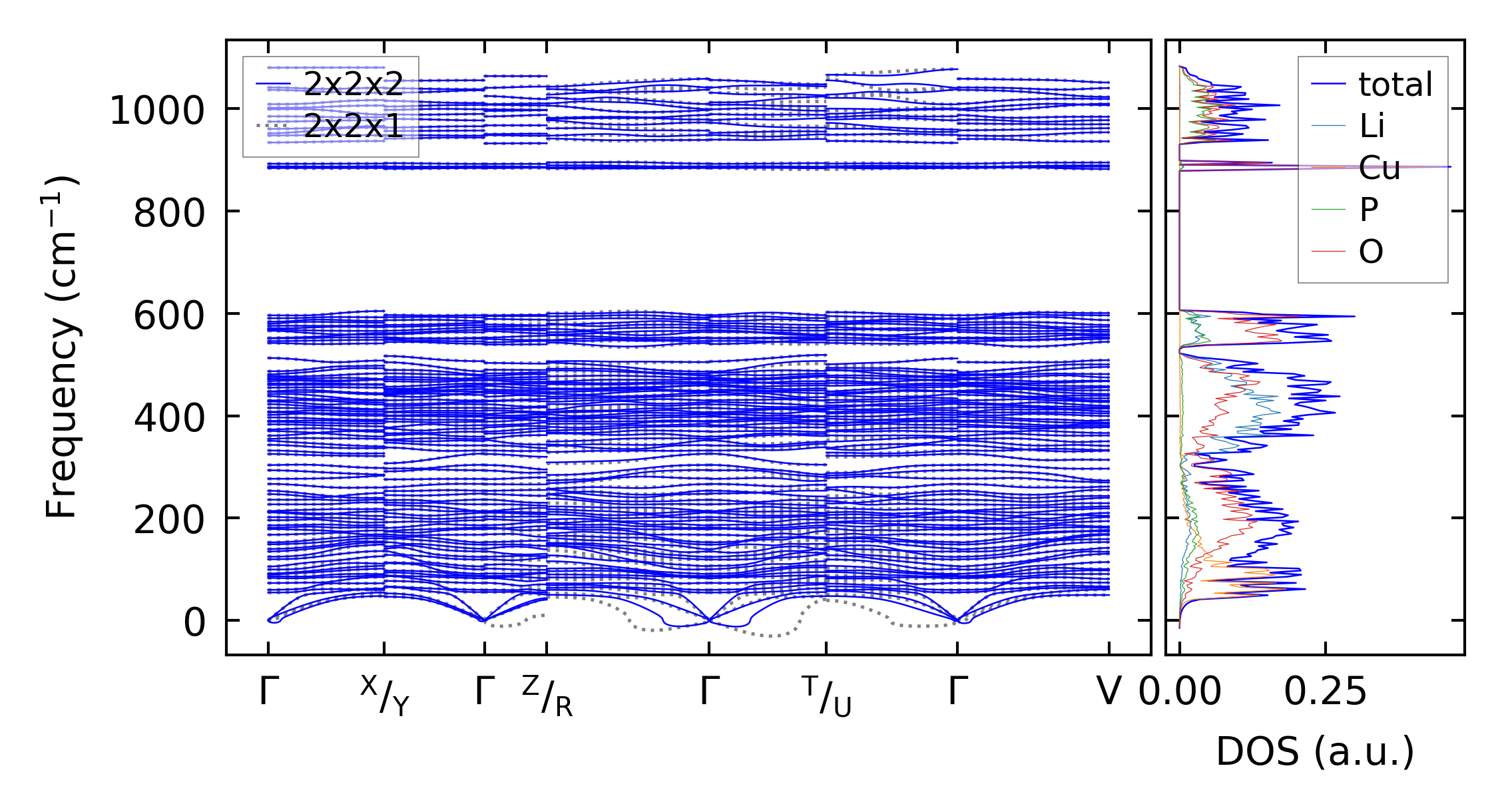
../../_images/fig_bandos2385.png

(b) Phonon dispersion and DOS

../../_images/fig_thermo2226.png

(c) Thermodynamic properties

Force constants

../../_images/fig_fc22047.png

(a) Force constants w.r.t atomic distance

Summary

../../_images/fig_times3497.png

(a) Computation time