mp-779519/Ba4Hf3O10/anharm

Harmonic properties

../../_images/fig_bandos_pr2207.png

(a) Phonon dispersion with participation ratio and DOS

../../_images/fig_thermo2207.png

(b) Thermodynamic properties

Grüneisen parameters

../../_images/fig_gru_all1240.png

(a) Grüneisen parameters

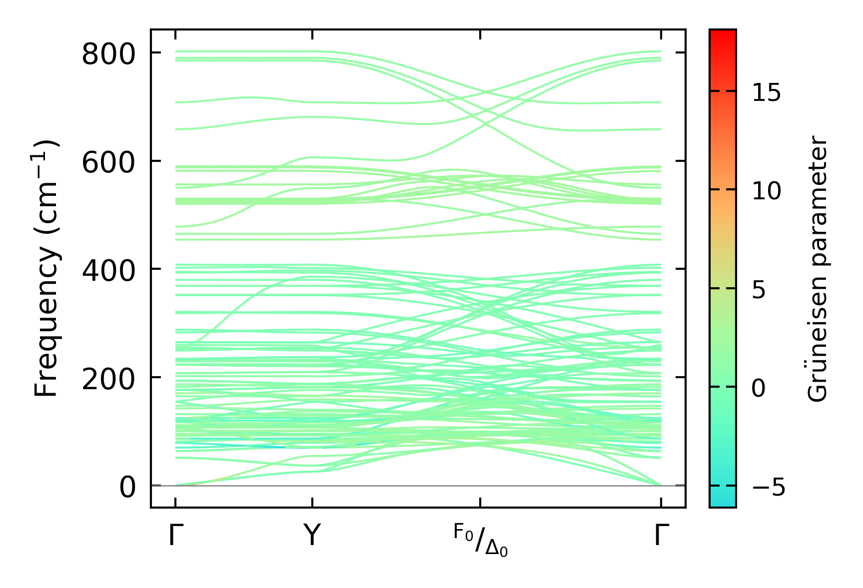
../../_images/fig_gruneisen1240.png

(b) Phonon dispersion with Grüneisen parameters

Thermal conductivity

3-phonon (LASSO) — q-mesh: 6x6x16, supercell: 1x1x2

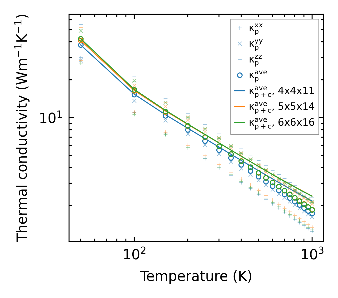
../../_images/fig_kappa2388.png

(a) Temperature-dependent lattice thermal conductivity

../../_images/fig_kappa_vs_grain_size1255.png

(b) Peierls lattice thermal conductivity w.r.t grain size

Phonon lifetime and scattering rates

../../_images/fig_lifetime1230.png

(a) Phonon lifetime due to phonon-phonon scattering

../../_images/fig_scat_rates1229.png

(b) Phonon scattering rates

Cumulative and spectral thermal conductivity

../../_images/fig_cumu_frequency1230.png

(a) Spectral and cumulative thermal conductivity w.r.t frequency

../../_images/fig_cumu_mfp1230.png

(b) Spectral and cumulative thermal conductivity w.r.t MFP

Force constants

../../_images/fig_fc22028.png

(a) Force constants w.r.t atomic distance

Summary

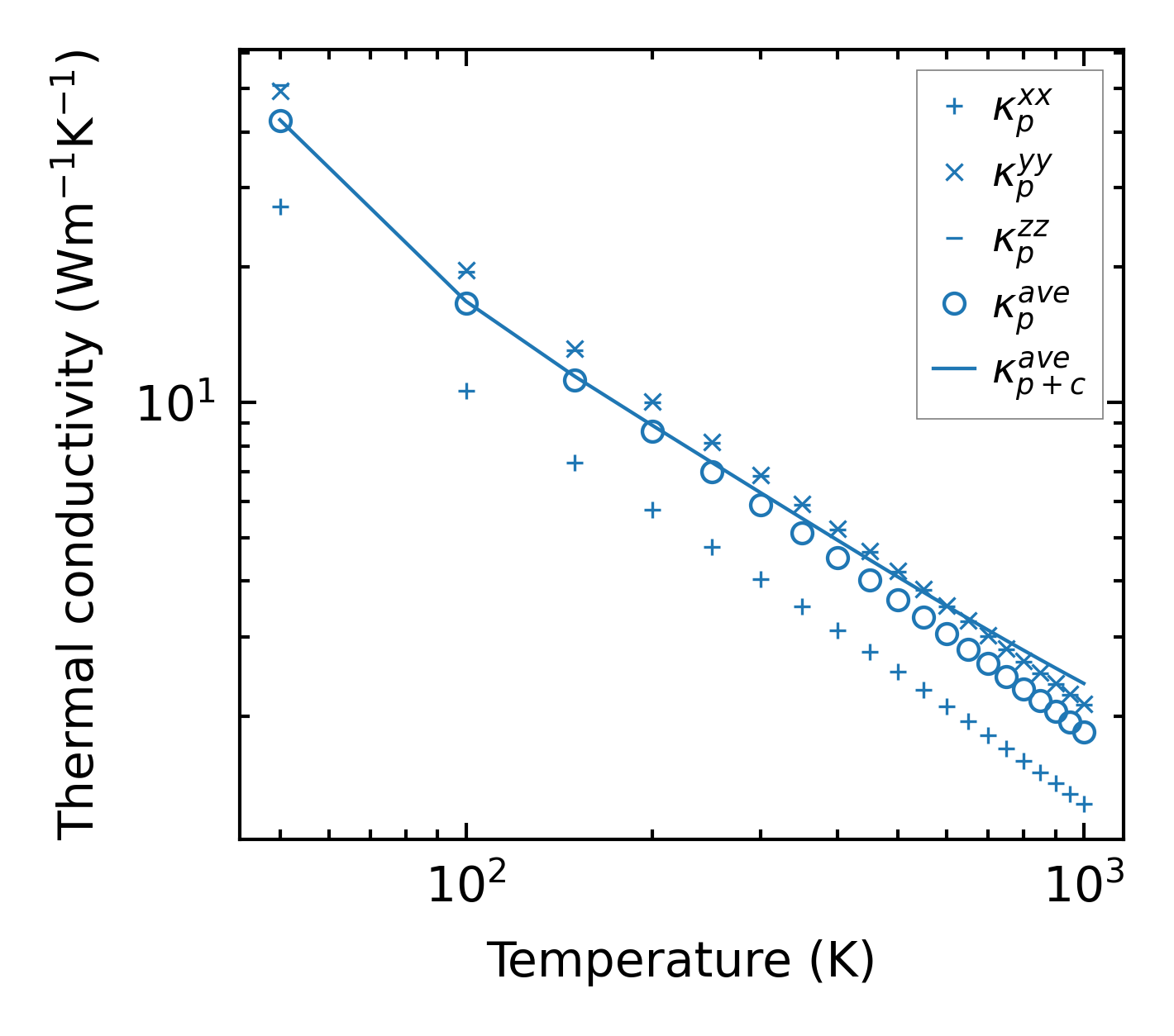
../../_images/fig_kappa2389.png

(a) Temperature-dependent lattice thermal conductivity

../../_images/fig_times3437.png

(b) Computation time