mp-779108-2/Be2P2O7/anharm

Equation of state

../../_images/fig_bm959.png

(a) Equation of state

Harmonic properties

../../_images/fig_bandos_pr2191.png

(a) Phonon dispersion with participation ratio and DOS

../../_images/fig_bandos2283.png

(b) Phonon dispersion and DOS

../../_images/fig_thermo2191.png

(c) Thermodynamic properties

Grüneisen parameters

../../_images/fig_gru_all1235.png

(a) Grüneisen parameters

../../_images/fig_gruneisen1235.png

(b) Phonon dispersion with Grüneisen parameters

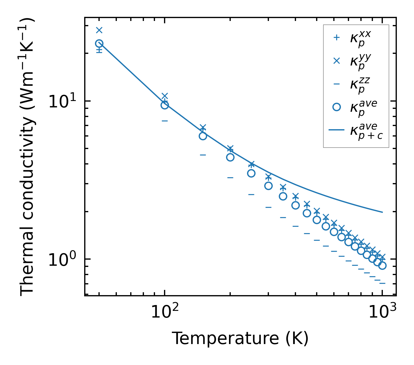
Thermal conductivity

3-phonon (LASSO), supercell 2x1x1 — q-mesh: 15x5x4, supercell: 2x1x1

../../_images/fig_kappa2379.png

(a) Temperature-dependent lattice thermal conductivity

../../_images/fig_kappa_vs_grain_size1250.png

(b) Peierls lattice thermal conductivity w.r.t grain size

Phonon lifetime and scattering rates

../../_images/fig_lifetime1225.png

(a) Phonon lifetime due to phonon-phonon scattering

../../_images/fig_scat_rates1224.png

(b) Phonon scattering rates

Cumulative and spectral thermal conductivity

../../_images/fig_cumu_frequency1225.png

(a) Spectral and cumulative thermal conductivity w.r.t frequency

../../_images/fig_cumu_mfp1225.png

(b) Spectral and cumulative thermal conductivity w.r.t MFP

Force constants

../../_images/fig_fc22012.png

(a) Force constants w.r.t atomic distance

Summary

../../_images/fig_times3389.png

(a) Computation time