mp-779545/Na3CuO2/anharm

Harmonic properties

../../_images/fig_bandos_pr2210.png

(a) Phonon dispersion with participation ratio and DOS

../../_images/fig_thermo2210.png

(b) Thermodynamic properties

Grüneisen parameters

../../_images/fig_gru_all1241.png

(a) Grüneisen parameters

../../_images/fig_gruneisen1241.png

(b) Phonon dispersion with Grüneisen parameters

Thermal conductivity

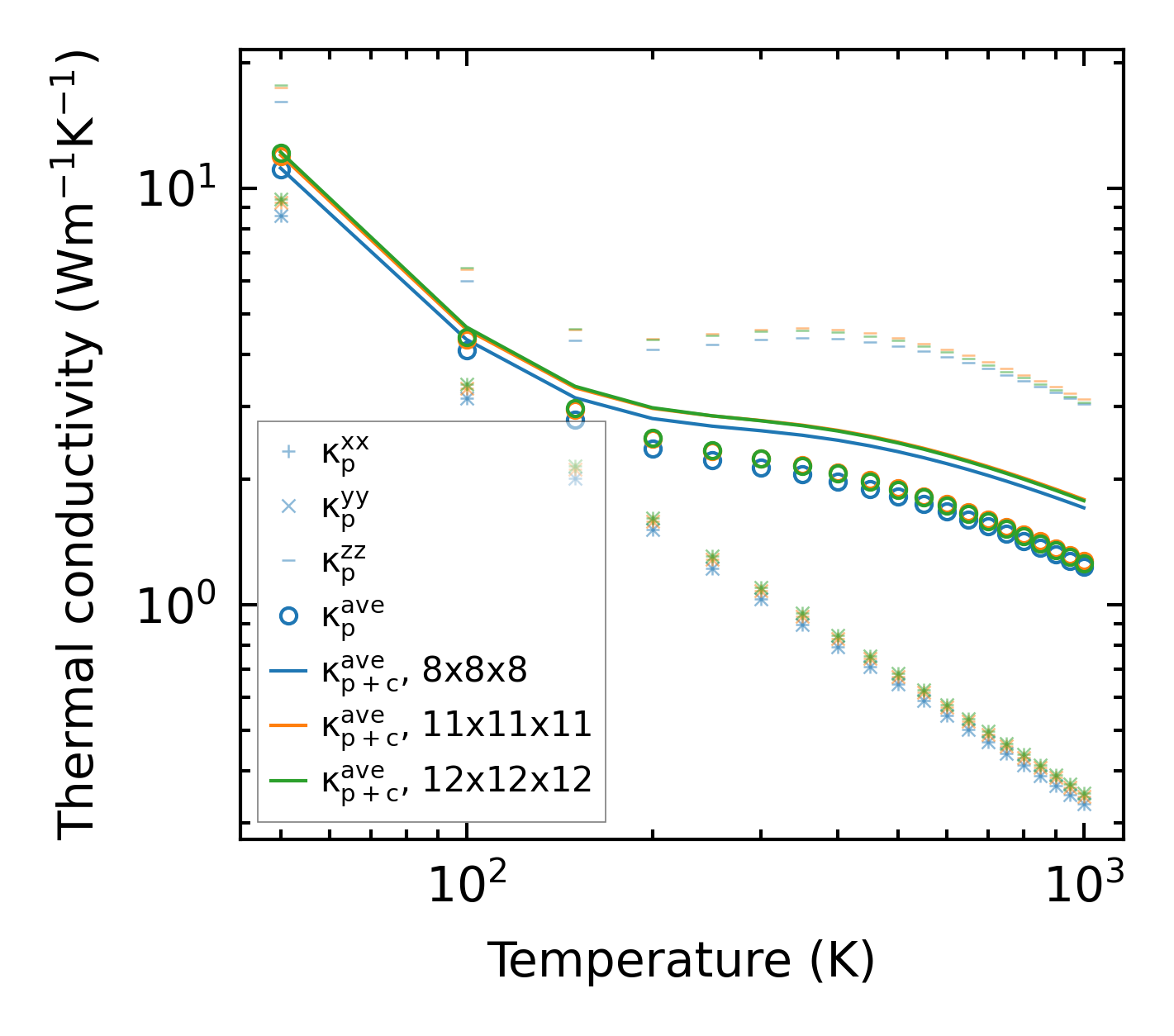
3-phonon (LASSO) — q-mesh: 12x12x12, supercell: 2x2x1

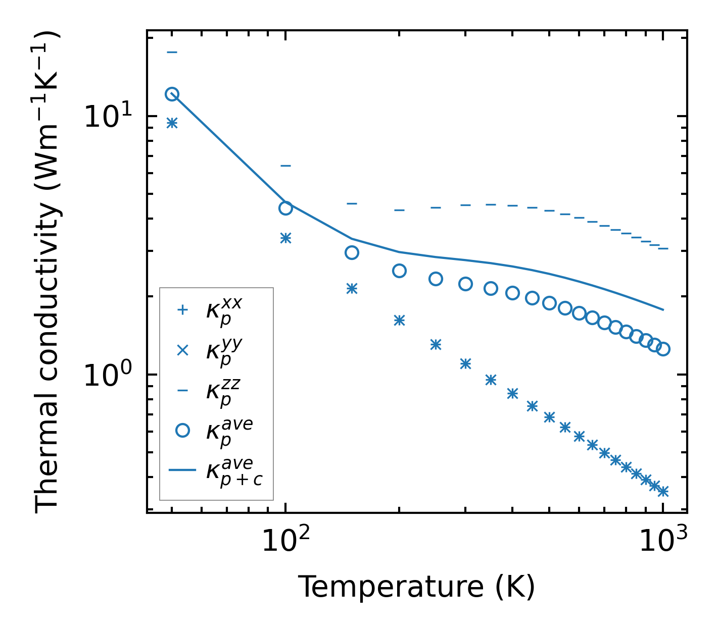
../../_images/fig_kappa2390.png

(a) Temperature-dependent lattice thermal conductivity

../../_images/fig_kappa_vs_grain_size1256.png

(b) Peierls lattice thermal conductivity w.r.t grain size

Phonon lifetime and scattering rates

../../_images/fig_lifetime1231.png

(a) Phonon lifetime due to phonon-phonon scattering

../../_images/fig_scat_rates1230.png

(b) Phonon scattering rates

Cumulative and spectral thermal conductivity

../../_images/fig_cumu_frequency1231.png

(a) Spectral and cumulative thermal conductivity w.r.t frequency

../../_images/fig_cumu_mfp1231.png

(b) Spectral and cumulative thermal conductivity w.r.t MFP

Force constants

../../_images/fig_fc22031.png

(a) Force constants w.r.t atomic distance

Summary

../../_images/fig_kappa2391.png

(a) Temperature-dependent lattice thermal conductivity

../../_images/fig_times3444.png

(b) Computation time