mp-779552-2/ZnTe2O5/anharm

Equation of state

../../_images/fig_bm981.png

(a) Equation of state

Harmonic properties

../../_images/fig_bandos_pr2213.png

(a) Phonon dispersion with participation ratio and DOS

../../_images/fig_bandos2336.png

(b) Phonon dispersion and DOS

../../_images/fig_thermo2213.png

(c) Thermodynamic properties

Grüneisen parameters

../../_images/fig_gru_all1242.png

(a) Grüneisen parameters

../../_images/fig_gruneisen1242.png

(b) Phonon dispersion with Grüneisen parameters

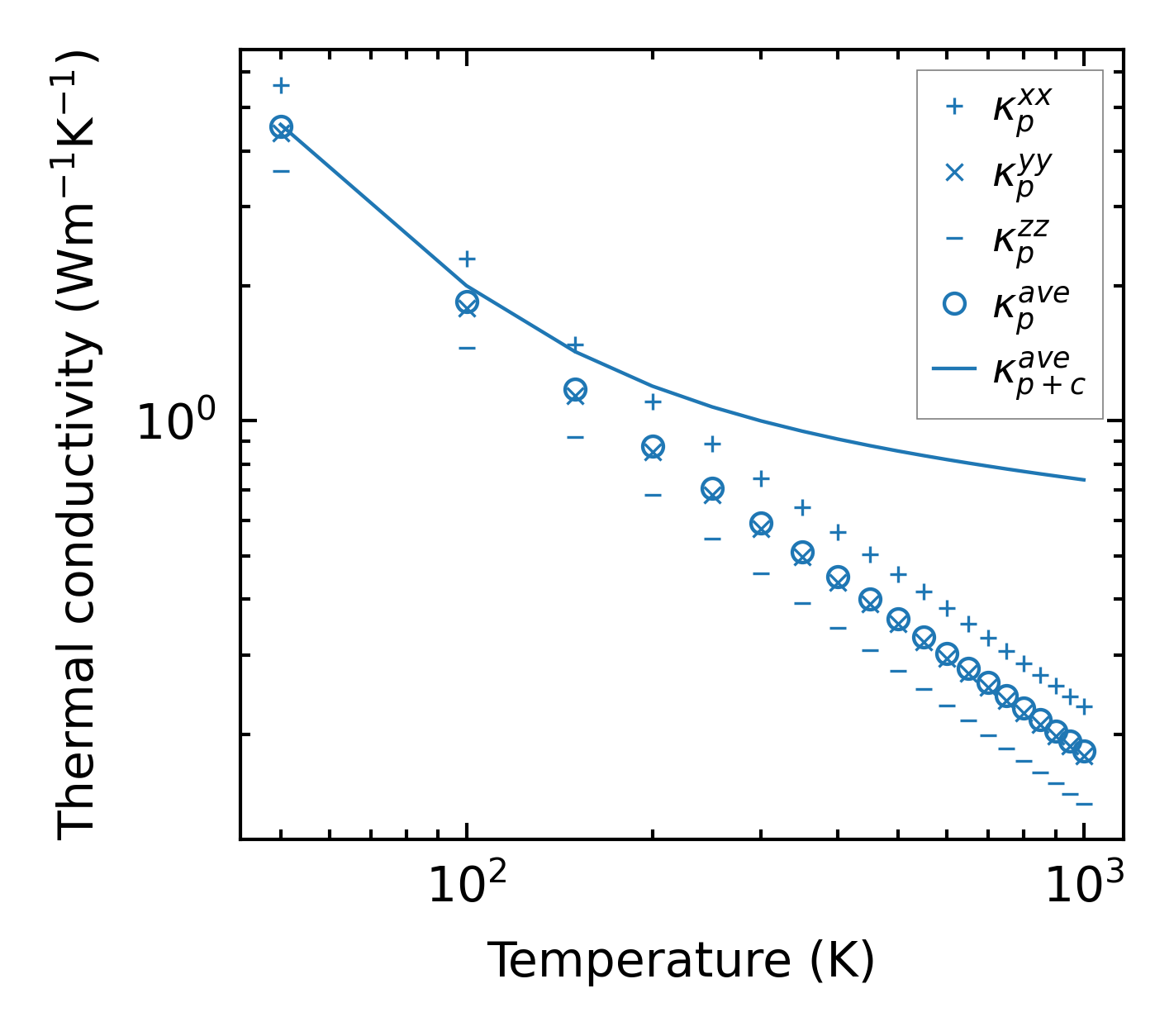
Thermal conductivity

3-phonon (LASSO), supercell 2x1x2 — q-mesh: 7x5x8, supercell: 2x1x2

../../_images/fig_kappa2392.png

(a) Temperature-dependent lattice thermal conductivity

../../_images/fig_kappa_vs_grain_size1257.png

(b) Peierls lattice thermal conductivity w.r.t grain size

Phonon lifetime and scattering rates

../../_images/fig_lifetime1232.png

(a) Phonon lifetime due to phonon-phonon scattering

../../_images/fig_scat_rates1231.png

(b) Phonon scattering rates

Cumulative and spectral thermal conductivity

../../_images/fig_cumu_frequency1232.png

(a) Spectral and cumulative thermal conductivity w.r.t frequency

../../_images/fig_cumu_mfp1232.png

(b) Spectral and cumulative thermal conductivity w.r.t MFP

Force constants

../../_images/fig_fc22034.png

(a) Force constants w.r.t atomic distance

Summary

../../_images/fig_times3448.png

(a) Computation time