mp-775906-2/Y2O3/anharm

Equation of state

../../_images/fig_bm1036.png

(a) Equation of state

Harmonic properties

../../_images/fig_bandos_pr2240.png

(a) Phonon dispersion with participation ratio and DOS

../../_images/fig_bandos2455.png

(b) Phonon dispersion and DOS

../../_images/fig_thermo2240.png

(c) Thermodynamic properties

Grüneisen parameters

../../_images/fig_gru_all1244.png

(a) Grüneisen parameters

../../_images/fig_gruneisen1244.png

(b) Phonon dispersion with Grüneisen parameters

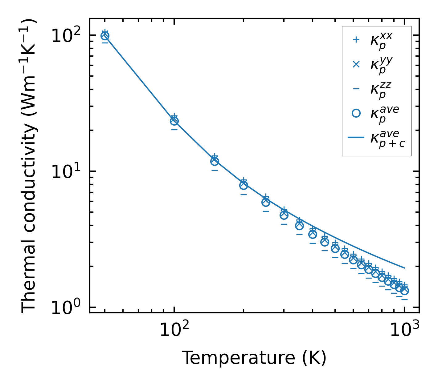
Thermal conductivity

3-phonon (LASSO), supercell 2x2x1 — q-mesh: 12x12x4, supercell: 2x2x1

../../_images/fig_kappa2394.png

(a) Temperature-dependent lattice thermal conductivity

../../_images/fig_kappa_vs_grain_size1259.png

(b) Peierls lattice thermal conductivity w.r.t grain size

Phonon lifetime and scattering rates

../../_images/fig_lifetime1234.png

(a) Phonon lifetime due to phonon-phonon scattering

../../_images/fig_scat_rates1233.png

(b) Phonon scattering rates

Cumulative and spectral thermal conductivity

../../_images/fig_cumu_frequency1234.png

(a) Spectral and cumulative thermal conductivity w.r.t frequency

../../_images/fig_cumu_mfp1234.png

(b) Spectral and cumulative thermal conductivity w.r.t MFP

Force constants

../../_images/fig_fc22061.png

(a) Force constants w.r.t atomic distance

Summary

../../_images/fig_times3567.png

(a) Computation time