mp-775372/Li5SbS/anharm

Harmonic properties

../../_images/fig_bandos_pr2446.png

(a) Phonon dispersion with participation ratio and DOS

../../_images/fig_thermo2446.png

(b) Thermodynamic properties

Grüneisen parameters

../../_images/fig_gru_all1281.png

(a) Grüneisen parameters

../../_images/fig_gruneisen1281.png

(b) Phonon dispersion with Grüneisen parameters

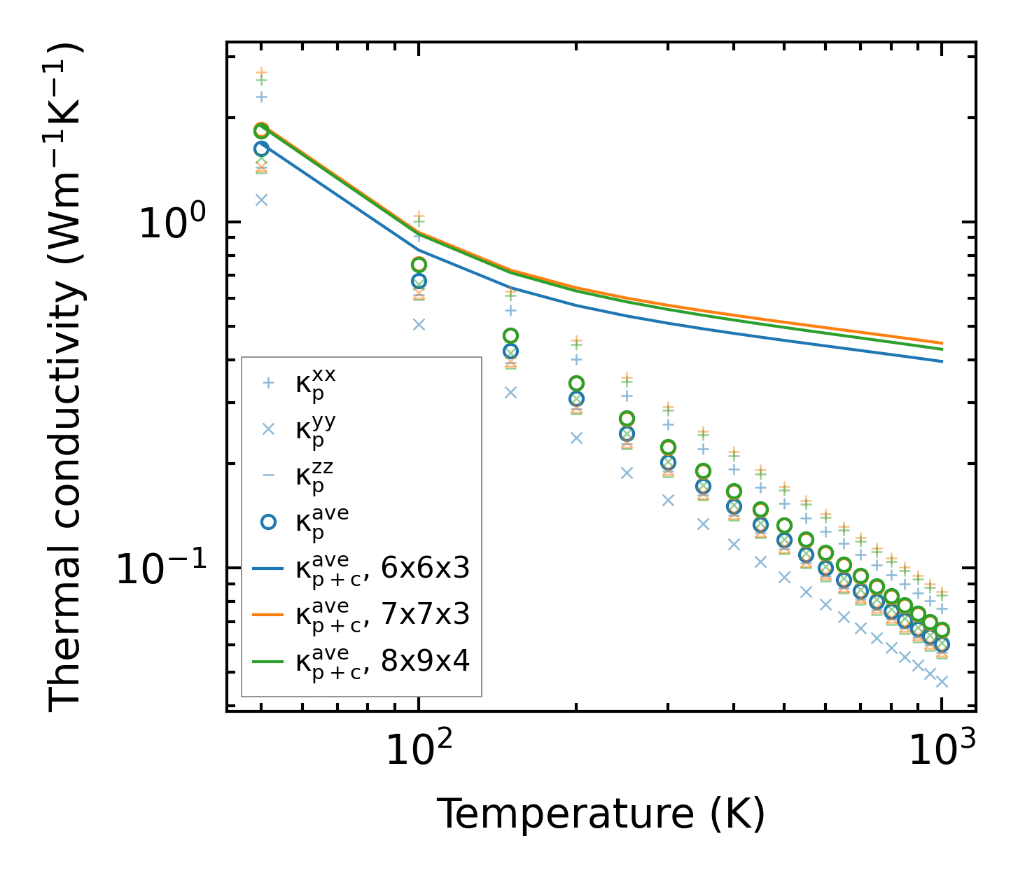
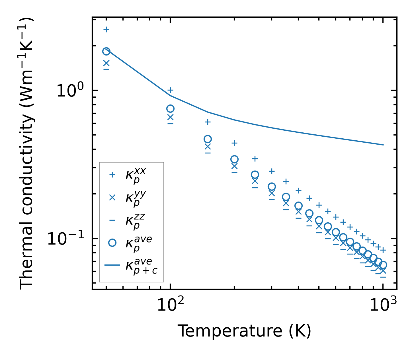
Thermal conductivity

3-phonon (LASSO) — q-mesh: 8x9x4, supercell: 1x2x1

../../_images/fig_kappa2463.png

(a) Temperature-dependent lattice thermal conductivity

../../_images/fig_kappa_vs_grain_size1297.png

(b) Peierls lattice thermal conductivity w.r.t grain size

Phonon lifetime and scattering rates

../../_images/fig_lifetime1271.png

(a) Phonon lifetime due to phonon-phonon scattering

../../_images/fig_scat_rates1270.png

(b) Phonon scattering rates

Cumulative and spectral thermal conductivity

../../_images/fig_cumu_frequency1271.png

(a) Spectral and cumulative thermal conductivity w.r.t frequency

../../_images/fig_cumu_mfp1271.png

(b) Spectral and cumulative thermal conductivity w.r.t MFP

Force constants

../../_images/fig_fc22267.png

(a) Force constants w.r.t atomic distance

Summary

../../_images/fig_kappa2464.png

(a) Temperature-dependent lattice thermal conductivity

../../_images/fig_times4024.png

(b) Computation time