mp-775149-2/TiS2O8/harm

Equation of state

../../_images/fig_bm1201.png

(a) Equation of state

Harmonic properties

../../_images/fig_bandos_pr2436.png

(a) Phonon dispersion with participation ratio and DOS

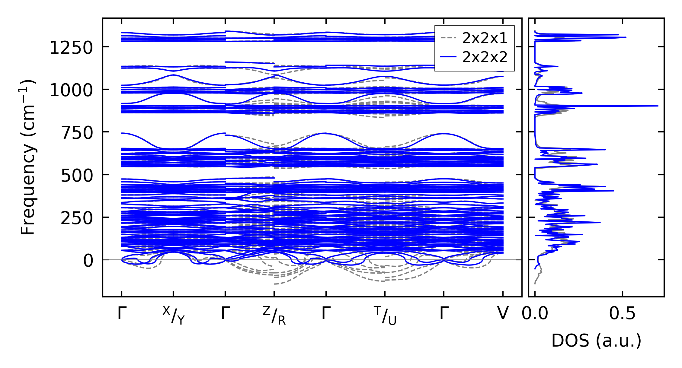
../../_images/fig_bandos2872.png

(b) Phonon dispersion and DOS

../../_images/fig_thermo2436.png

(c) Thermodynamic properties

Force constants

../../_images/fig_fc22257.png

(a) Force constants w.r.t atomic distance

Summary

../../_images/fig_times4010.png

(a) Computation time