mp-676861/AlSbO4/anharm

Harmonic properties

../../_images/fig_bandos_pr5077.png

(a) Phonon dispersion with participation ratio and DOS

../../_images/fig_thermo5077.png

(b) Thermodynamic properties

Grüneisen parameters

../../_images/fig_gru_all2139.png

(a) Grüneisen parameters

../../_images/fig_gruneisen2139.png

(b) Phonon dispersion with Grüneisen parameters

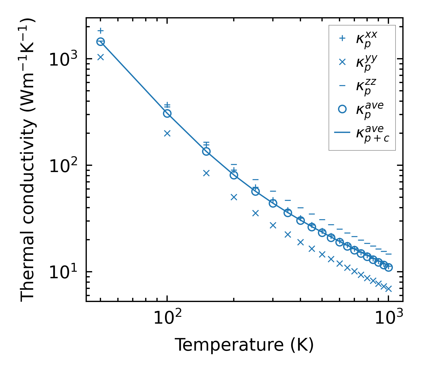
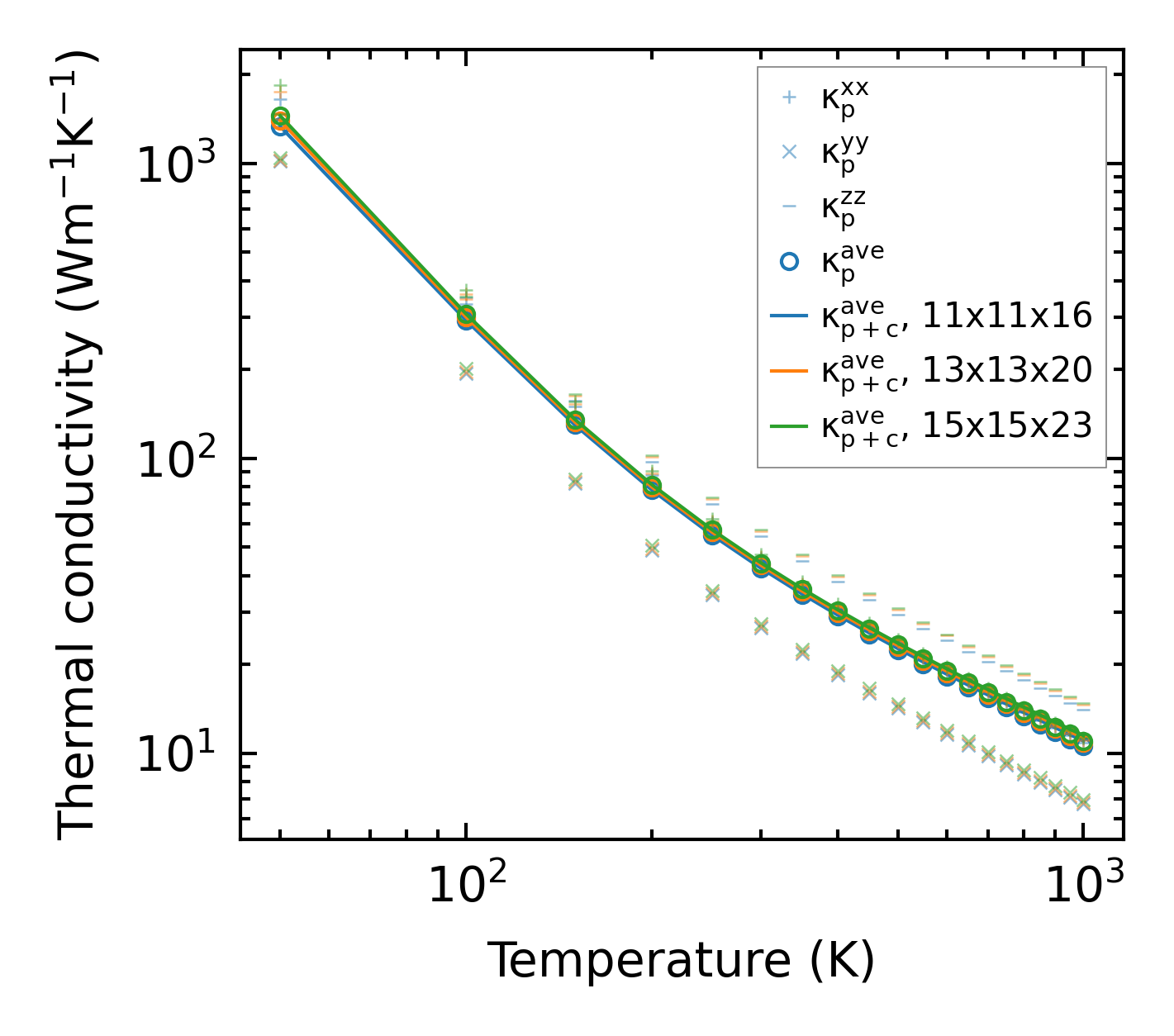
Thermal conductivity

3-phonon (LASSO) — q-mesh: 15x15x23, supercell: 2x2x3

../../_images/fig_kappa4099.png

(a) Temperature-dependent lattice thermal conductivity

../../_images/fig_kappa_vs_grain_size2171.png

(b) Peierls lattice thermal conductivity w.r.t grain size

Phonon lifetime and scattering rates

../../_images/fig_lifetime2126.png

(a) Phonon lifetime due to phonon-phonon scattering

../../_images/fig_scat_rates2125.png

(b) Phonon scattering rates

Cumulative and spectral thermal conductivity

../../_images/fig_cumu_frequency2126.png

(a) Spectral and cumulative thermal conductivity w.r.t frequency

../../_images/fig_cumu_mfp2126.png

(b) Spectral and cumulative thermal conductivity w.r.t MFP

Force constants

../../_images/fig_fc24882.png

(a) Force constants w.r.t atomic distance

Summary

../../_images/fig_kappa4100.png

(a) Temperature-dependent lattice thermal conductivity

../../_images/fig_times9083.png

(b) Computation time