mp-676512-2/Na3AlF6/anharm

Harmonic properties

../../_images/fig_bandos_pr5307.png

(a) Phonon dispersion with participation ratio and DOS

../../_images/fig_thermo5307.png

(b) Thermodynamic properties

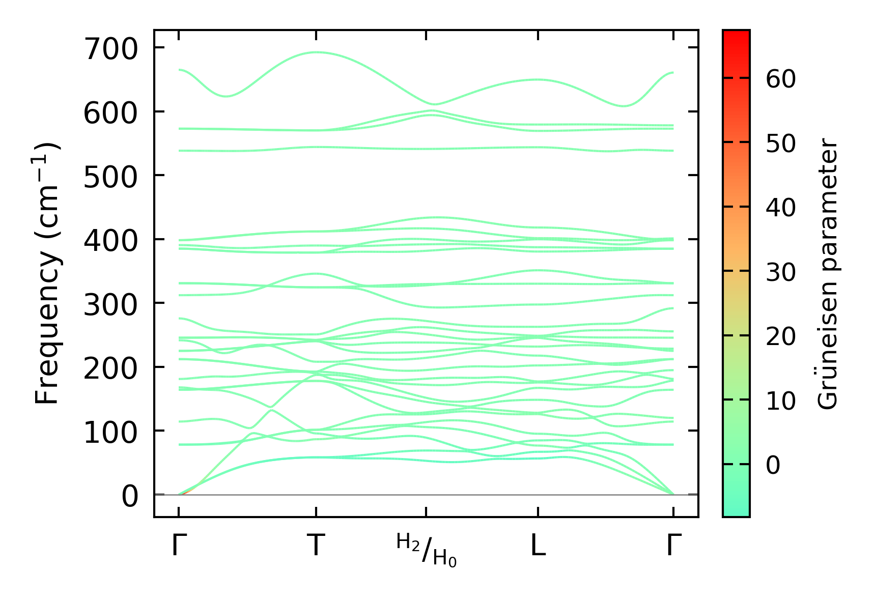
Grüneisen parameters

../../_images/fig_gru_all2216.png

(a) Grüneisen parameters

../../_images/fig_gruneisen2216.png

(b) Phonon dispersion with Grüneisen parameters

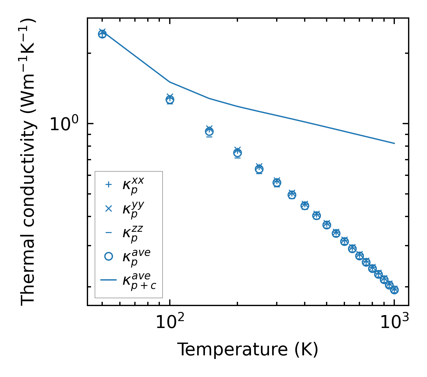
Thermal conductivity

3-phonon (LASSO) — q-mesh: 14x14x14, supercell: 2x2x1

../../_images/fig_kappa4241.png

(a) Temperature-dependent lattice thermal conductivity

../../_images/fig_kappa_vs_grain_size2247.png

(b) Peierls lattice thermal conductivity w.r.t grain size

Phonon lifetime and scattering rates

../../_images/fig_lifetime2202.png

(a) Phonon lifetime due to phonon-phonon scattering

../../_images/fig_scat_rates2201.png

(b) Phonon scattering rates

Cumulative and spectral thermal conductivity

../../_images/fig_cumu_frequency2202.png

(a) Spectral and cumulative thermal conductivity w.r.t frequency

../../_images/fig_cumu_mfp2202.png

(b) Spectral and cumulative thermal conductivity w.r.t MFP

Force constants

../../_images/fig_fc25112.png

(a) Force constants w.r.t atomic distance

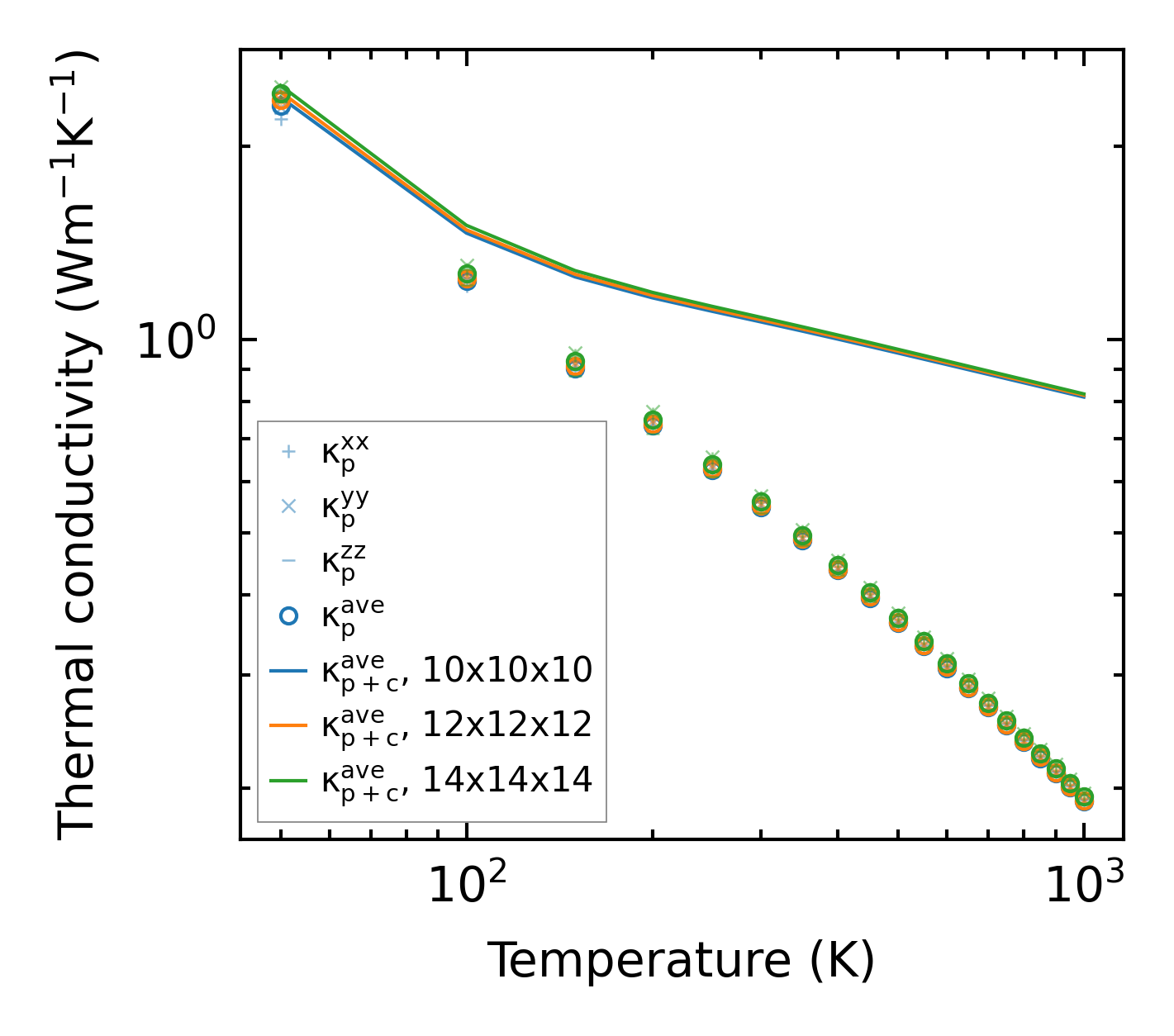
Summary

../../_images/fig_kappa4242.png

(a) Temperature-dependent lattice thermal conductivity

../../_images/fig_times9570.png

(b) Computation time