mp-676665/Ba4Ta2TiZnO12/harm

Equation of state

../../_images/fig_bm2502.png

(a) Equation of state

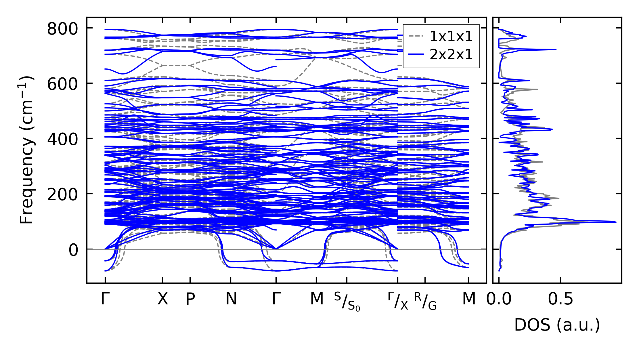
Harmonic properties

../../_images/fig_bandos_pr5071.png

(a) Phonon dispersion with participation ratio and DOS

../../_images/fig_bandos7164.png

(b) Phonon dispersion and DOS

../../_images/fig_thermo5071.png

(c) Thermodynamic properties

Force constants

../../_images/fig_fc24876.png

(a) Force constants w.r.t atomic distance

Summary

../../_images/fig_times9065.png

(a) Computation time