mp-676360/NaNdS2/anharm

Harmonic properties

../../_images/fig_bandos_pr5301.png

(a) Phonon dispersion with participation ratio and DOS

../../_images/fig_thermo5301.png

(b) Thermodynamic properties

Grüneisen parameters

../../_images/fig_gru_all2215.png

(a) Grüneisen parameters

../../_images/fig_gruneisen2215.png

(b) Phonon dispersion with Grüneisen parameters

Thermal conductivity

3-phonon (LASSO) — q-mesh: 12x12x12, supercell: 3x3x1

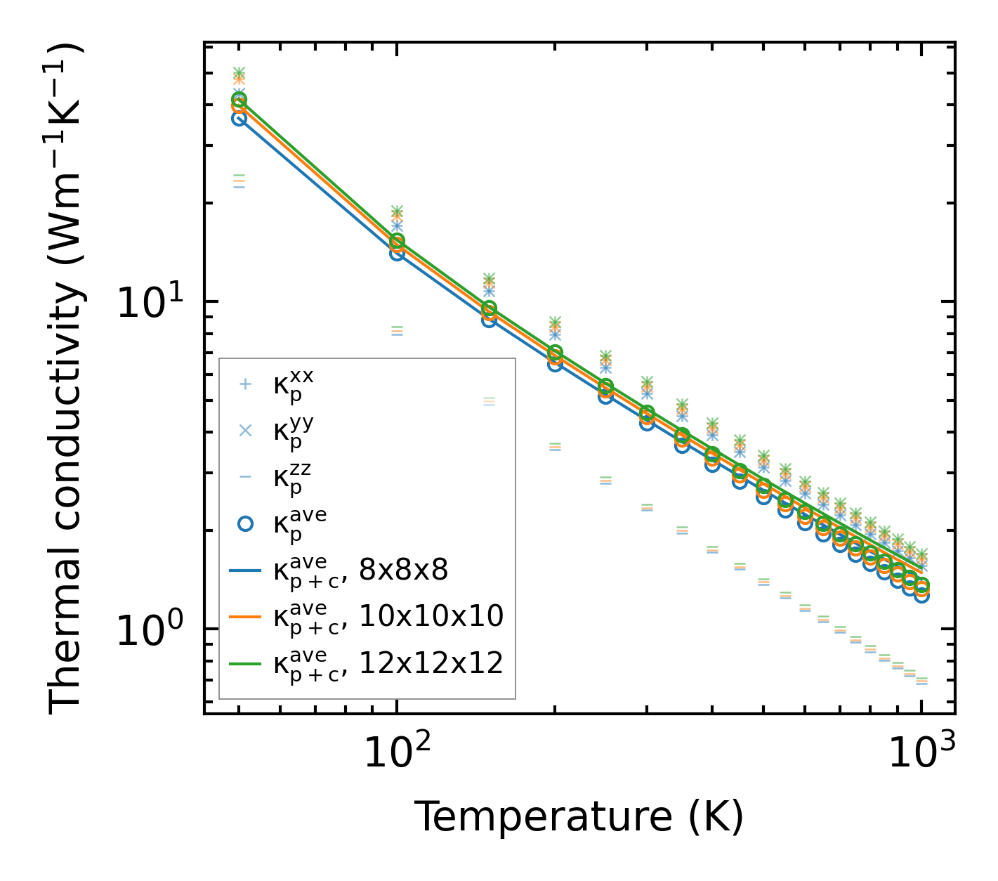
../../_images/fig_kappa4239.png

(a) Temperature-dependent lattice thermal conductivity

../../_images/fig_kappa_vs_grain_size2246.png

(b) Peierls lattice thermal conductivity w.r.t grain size

Phonon lifetime and scattering rates

../../_images/fig_lifetime2201.png

(a) Phonon lifetime due to phonon-phonon scattering

../../_images/fig_scat_rates2200.png

(b) Phonon scattering rates

Cumulative and spectral thermal conductivity

../../_images/fig_cumu_frequency2201.png

(a) Spectral and cumulative thermal conductivity w.r.t frequency

../../_images/fig_cumu_mfp2201.png

(b) Spectral and cumulative thermal conductivity w.r.t MFP

Force constants

../../_images/fig_fc25106.png

(a) Force constants w.r.t atomic distance

Summary

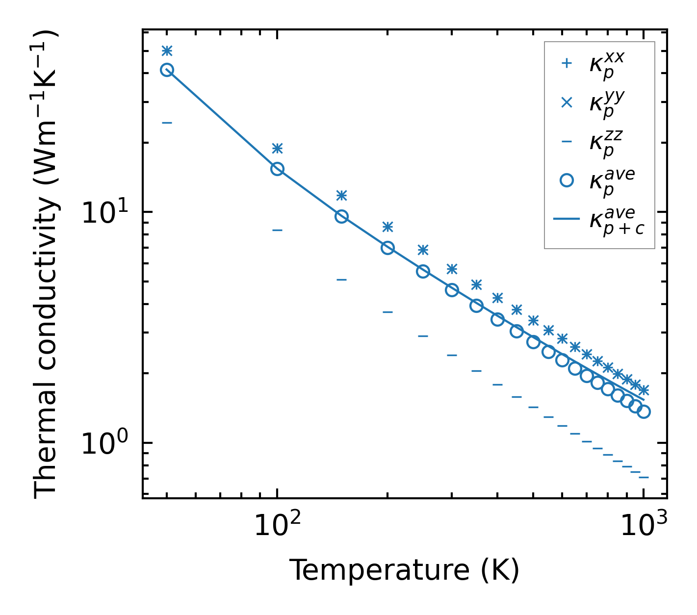
../../_images/fig_kappa4240.png

(a) Temperature-dependent lattice thermal conductivity

../../_images/fig_times9551.png

(b) Computation time