mp-676250/Bi2Te4Pb/anharm

Harmonic properties

../../_images/fig_bandos_pr5290.png

(a) Phonon dispersion with participation ratio and DOS

../../_images/fig_thermo5290.png

(b) Thermodynamic properties

Grüneisen parameters

../../_images/fig_gru_all2211.png

(a) Grüneisen parameters

../../_images/fig_gruneisen2211.png

(b) Phonon dispersion with Grüneisen parameters

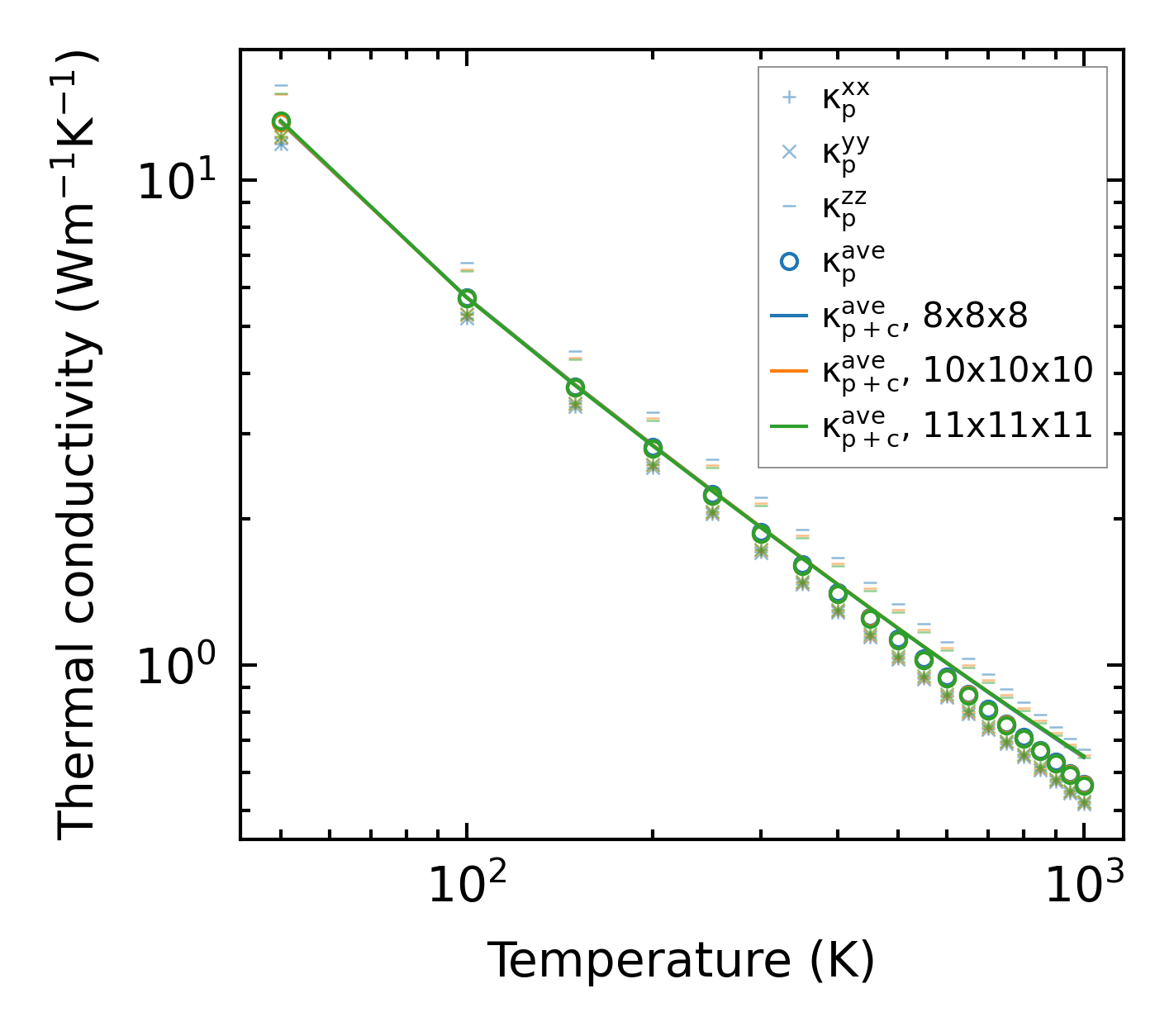
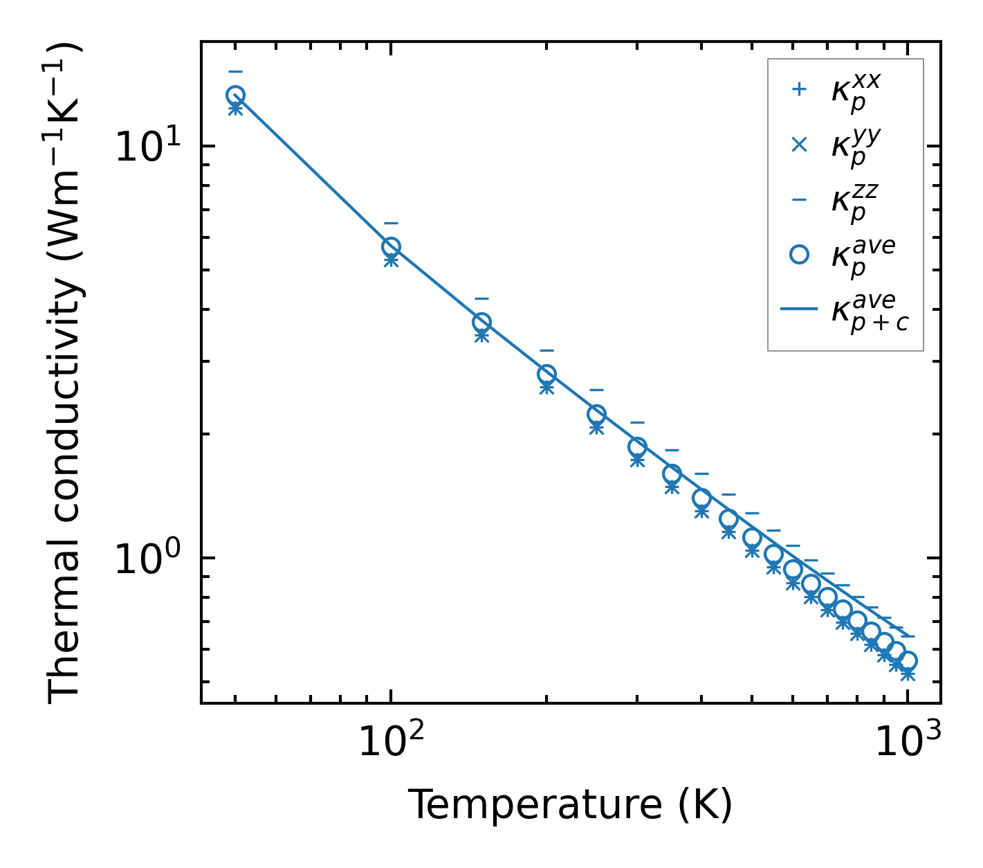
Thermal conductivity

3-phonon (LASSO) — q-mesh: 11x11x11, supercell: 2x2x1

../../_images/fig_kappa4231.png

(a) Temperature-dependent lattice thermal conductivity

../../_images/fig_kappa_vs_grain_size2242.png

(b) Peierls lattice thermal conductivity w.r.t grain size

Phonon lifetime and scattering rates

../../_images/fig_lifetime2197.png

(a) Phonon lifetime due to phonon-phonon scattering

../../_images/fig_scat_rates2196.png

(b) Phonon scattering rates

Cumulative and spectral thermal conductivity

../../_images/fig_cumu_frequency2197.png

(a) Spectral and cumulative thermal conductivity w.r.t frequency

../../_images/fig_cumu_mfp2197.png

(b) Spectral and cumulative thermal conductivity w.r.t MFP

Force constants

../../_images/fig_fc25095.png

(a) Force constants w.r.t atomic distance

Summary

../../_images/fig_kappa4232.png

(a) Temperature-dependent lattice thermal conductivity

../../_images/fig_times9525.png

(b) Computation time