mp-562764/Ba7B4S13/anharm

Harmonic properties

../../_images/fig_bandos_pr7468.png

(a) Phonon dispersion with participation ratio and DOS

../../_images/fig_thermo7468.png

(b) Thermodynamic properties

Grüneisen parameters

../../_images/fig_gru_all3131.png

(a) Grüneisen parameters

../../_images/fig_gruneisen3131.png

(b) Phonon dispersion with Grüneisen parameters

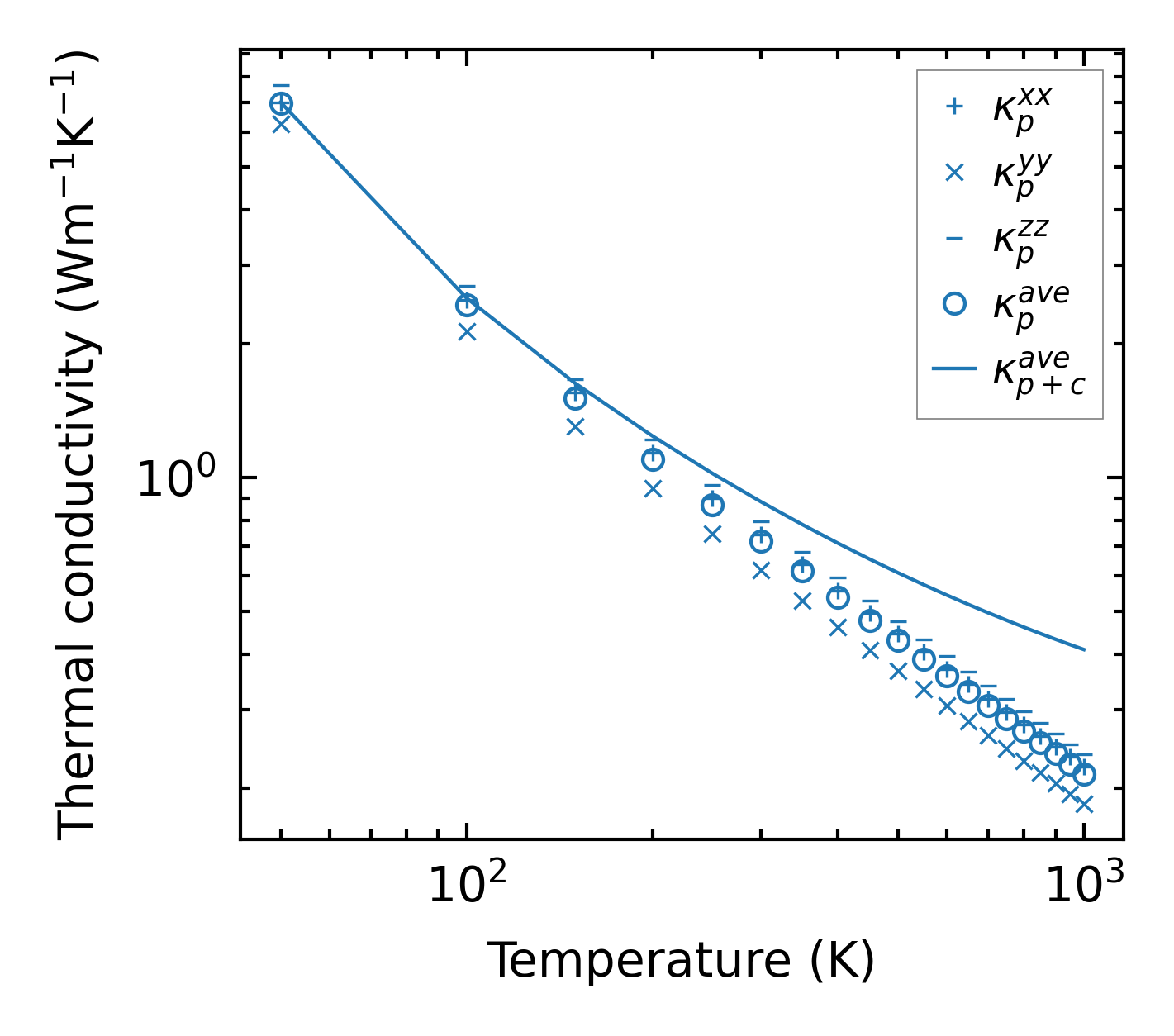
Thermal conductivity

3-phonon (LASSO) — q-mesh: 6x6x7, supercell: 1x1x1

../../_images/fig_kappa5929.png

(a) Temperature-dependent lattice thermal conductivity

../../_images/fig_kappa_vs_grain_size3172.png

(b) Peierls lattice thermal conductivity w.r.t grain size

Phonon lifetime and scattering rates

../../_images/fig_lifetime3103.png

(a) Phonon lifetime due to phonon-phonon scattering

../../_images/fig_scat_rates3102.png

(b) Phonon scattering rates

Cumulative and spectral thermal conductivity

../../_images/fig_cumu_frequency3103.png

(a) Spectral and cumulative thermal conductivity w.r.t frequency

../../_images/fig_cumu_mfp3102.png

(b) Spectral and cumulative thermal conductivity w.r.t MFP

Force constants

../../_images/fig_fc27232.png

(a) Force constants w.r.t atomic distance

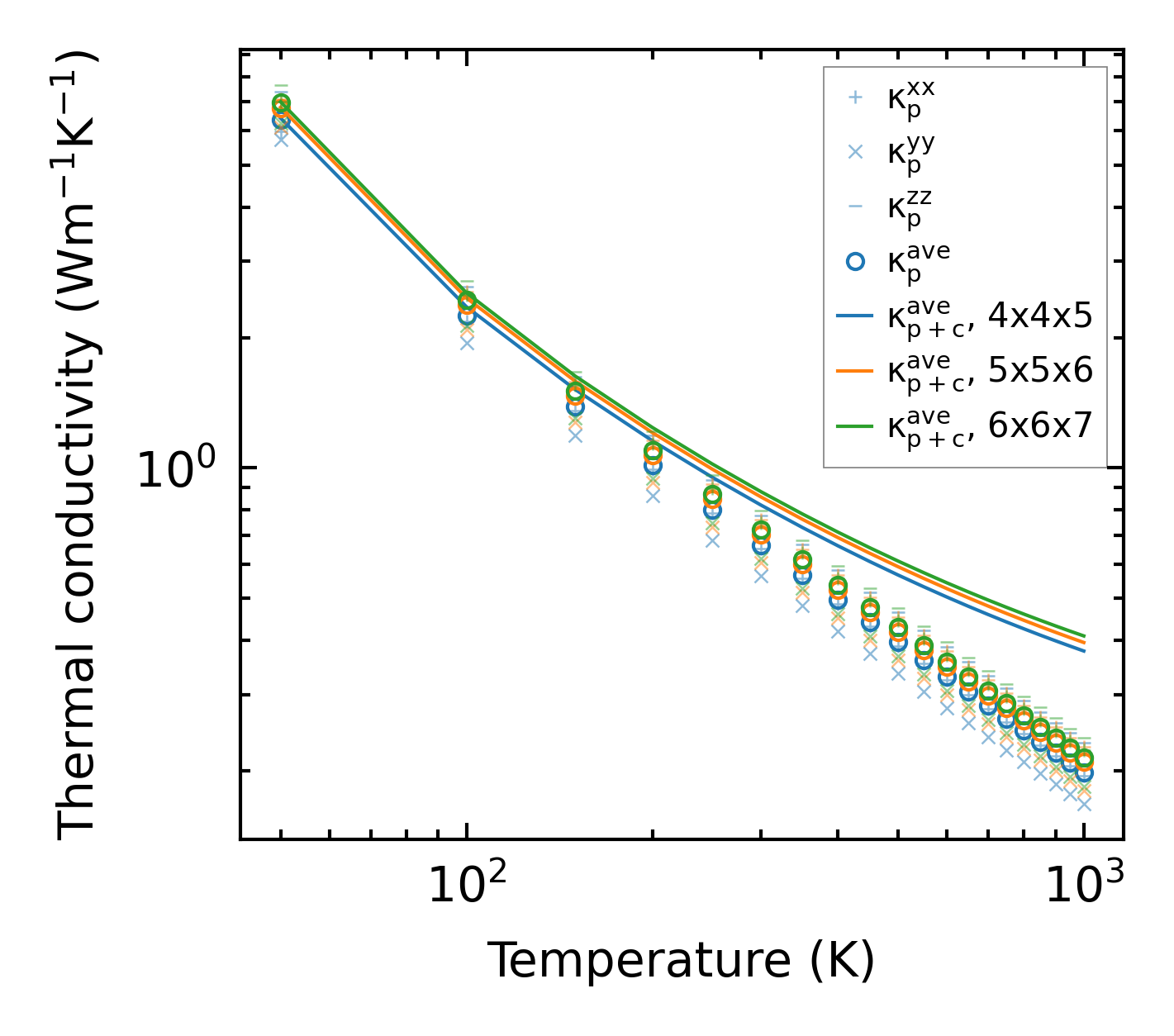
Summary

../../_images/fig_kappa5930.png

(a) Temperature-dependent lattice thermal conductivity

../../_images/fig_times13232.png

(b) Computation time