mp-562550/AgCSN/anharm

Harmonic properties

../../_images/fig_bandos_pr7465.png

(a) Phonon dispersion with participation ratio and DOS

../../_images/fig_thermo7465.png

(b) Thermodynamic properties

Grüneisen parameters

../../_images/fig_gru_all3130.png

(a) Grüneisen parameters

../../_images/fig_gruneisen3130.png

(b) Phonon dispersion with Grüneisen parameters

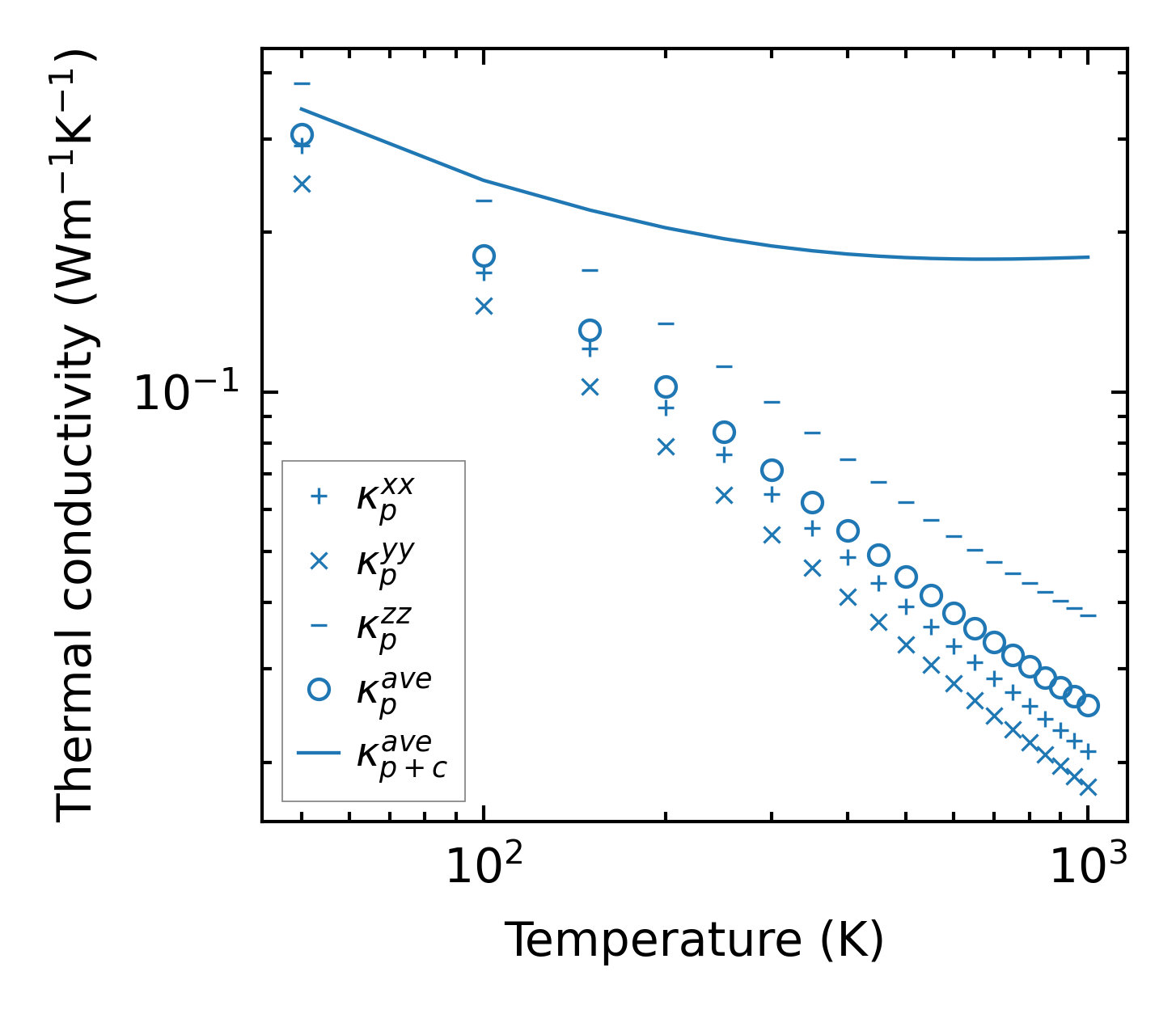
Thermal conductivity

3-phonon (LASSO) — q-mesh: 10x6x17, supercell: 2x1x3

../../_images/fig_kappa5927.png

(a) Temperature-dependent lattice thermal conductivity

../../_images/fig_kappa_vs_grain_size3171.png

(b) Peierls lattice thermal conductivity w.r.t grain size

Phonon lifetime and scattering rates

../../_images/fig_lifetime3102.png

(a) Phonon lifetime due to phonon-phonon scattering

../../_images/fig_scat_rates3101.png

(b) Phonon scattering rates

Cumulative and spectral thermal conductivity

../../_images/fig_cumu_frequency3102.png

(a) Spectral and cumulative thermal conductivity w.r.t frequency

../../_images/fig_cumu_mfp3101.png

(b) Spectral and cumulative thermal conductivity w.r.t MFP

Force constants

../../_images/fig_fc27229.png

(a) Force constants w.r.t atomic distance

Summary

../../_images/fig_kappa5928.png

(a) Temperature-dependent lattice thermal conductivity

../../_images/fig_times13224.png

(b) Computation time