mp-562102/K2S2O7/harm

Harmonic properties

../../_images/fig_bandos_pr7455.png

(a) Phonon dispersion with participation ratio and DOS

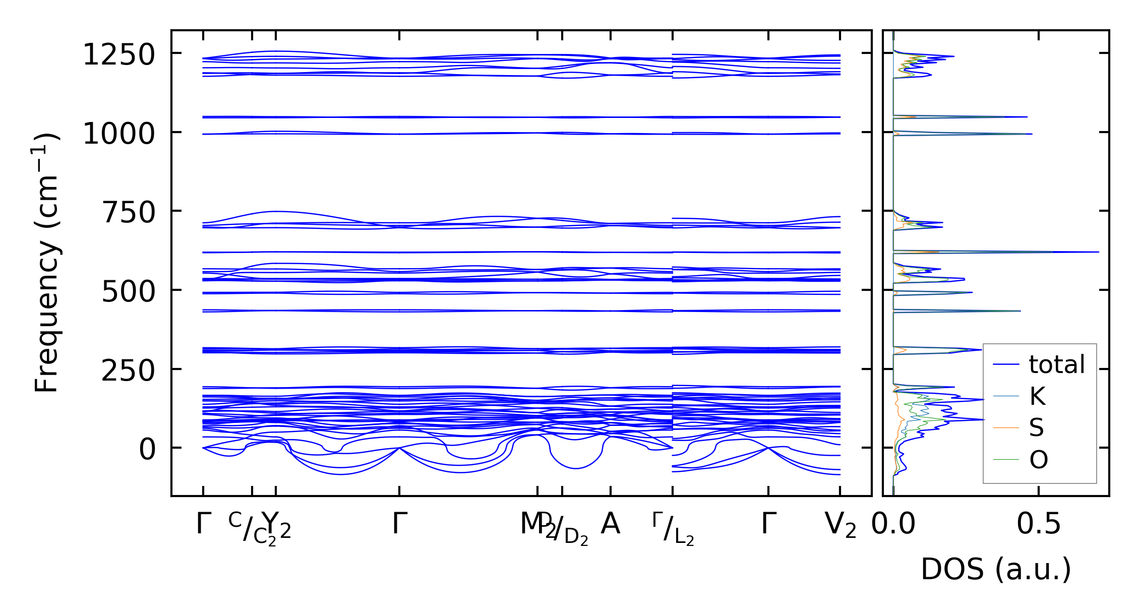
../../_images/fig_bandos10488.png

(b) Phonon dispersion and DOS

../../_images/fig_thermo7455.png

(c) Thermodynamic properties

Force constants

../../_images/fig_fc27219.png

(a) Force constants w.r.t atomic distance

Summary

../../_images/fig_times13200.png

(a) Computation time