mp-549737/Ba2CaB2O6/anharm

Harmonic properties

../../_images/fig_bandos_pr9101.png

(a) Phonon dispersion with participation ratio and DOS

../../_images/fig_thermo9101.png

(b) Thermodynamic properties

Grüneisen parameters

../../_images/fig_gru_all3626.png

(a) Grüneisen parameters

../../_images/fig_gruneisen3626.png

(b) Phonon dispersion with Grüneisen parameters

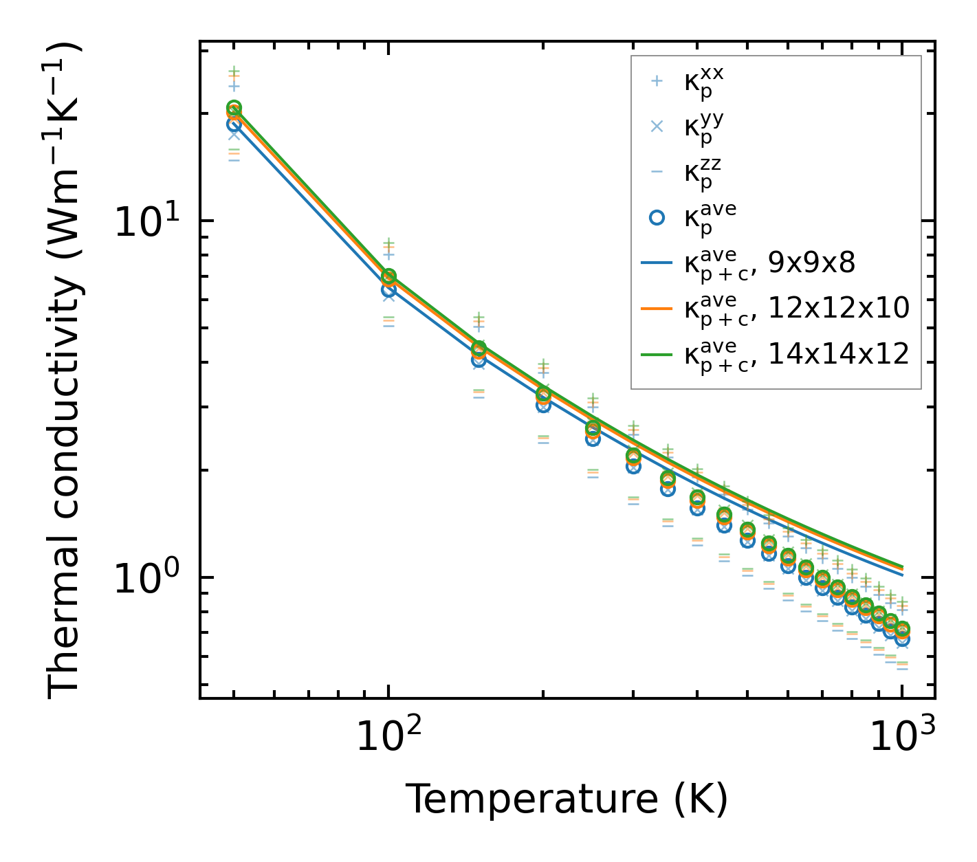
Thermal conductivity

3-phonon (LASSO) — q-mesh: 14x14x12, supercell: 1x2x2

../../_images/fig_kappa6848.png

(a) Temperature-dependent lattice thermal conductivity

../../_images/fig_kappa_vs_grain_size3674.png

(b) Peierls lattice thermal conductivity w.r.t grain size

Phonon lifetime and scattering rates

../../_images/fig_lifetime3592.png

(a) Phonon lifetime due to phonon-phonon scattering

../../_images/fig_scat_rates3591.png

(b) Phonon scattering rates

Cumulative and spectral thermal conductivity

../../_images/fig_cumu_frequency3592.png

(a) Spectral and cumulative thermal conductivity w.r.t frequency

../../_images/fig_cumu_mfp3591.png

(b) Spectral and cumulative thermal conductivity w.r.t MFP

Force constants

../../_images/fig_fc28863.png

(a) Force constants w.r.t atomic distance

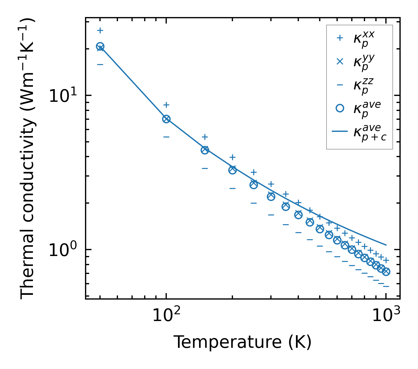
Summary

../../_images/fig_kappa6849.png

(a) Temperature-dependent lattice thermal conductivity

../../_images/fig_times15915.png

(b) Computation time