mp-549333/NdBi2IO4/anharm

Harmonic properties

../../_images/fig_bandos_pr9090.png

(a) Phonon dispersion with participation ratio and DOS

../../_images/fig_thermo9090.png

(b) Thermodynamic properties

Grüneisen parameters

../../_images/fig_gru_all3618.png

(a) Grüneisen parameters

../../_images/fig_gruneisen3618.png

(b) Phonon dispersion with Grüneisen parameters

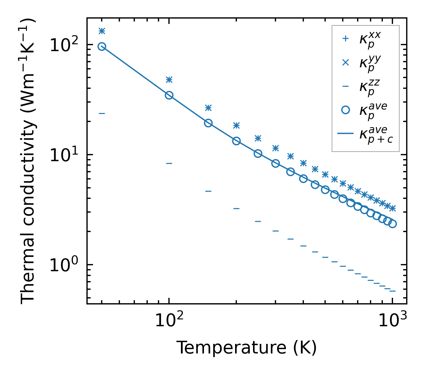
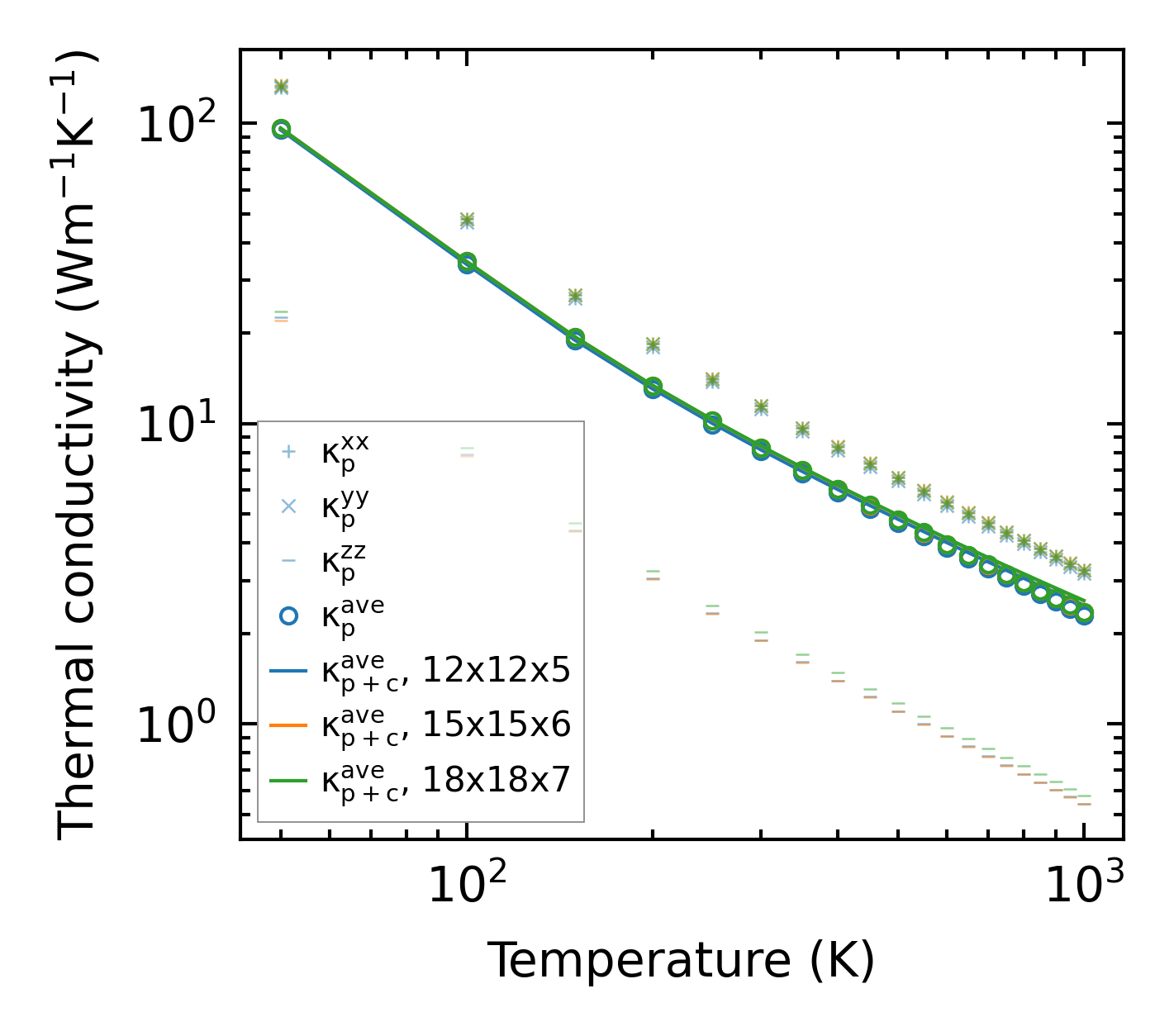
Thermal conductivity

3-phonon (LASSO) — q-mesh: 18x18x7, supercell: 3x3x2

../../_images/fig_kappa6832.png

(a) Temperature-dependent lattice thermal conductivity

../../_images/fig_kappa_vs_grain_size3666.png

(b) Peierls lattice thermal conductivity w.r.t grain size

Phonon lifetime and scattering rates

../../_images/fig_lifetime3584.png

(a) Phonon lifetime due to phonon-phonon scattering

../../_images/fig_scat_rates3583.png

(b) Phonon scattering rates

Cumulative and spectral thermal conductivity

../../_images/fig_cumu_frequency3584.png

(a) Spectral and cumulative thermal conductivity w.r.t frequency

../../_images/fig_cumu_mfp3583.png

(b) Spectral and cumulative thermal conductivity w.r.t MFP

Force constants

../../_images/fig_fc28852.png

(a) Force constants w.r.t atomic distance

Summary

../../_images/fig_kappa6833.png

(a) Temperature-dependent lattice thermal conductivity

../../_images/fig_times15904.png

(b) Computation time