mp-549720/NbI2O/anharm

Harmonic properties

../../_images/fig_bandos_pr9098.png

(a) Phonon dispersion with participation ratio and DOS

../../_images/fig_thermo9098.png

(b) Thermodynamic properties

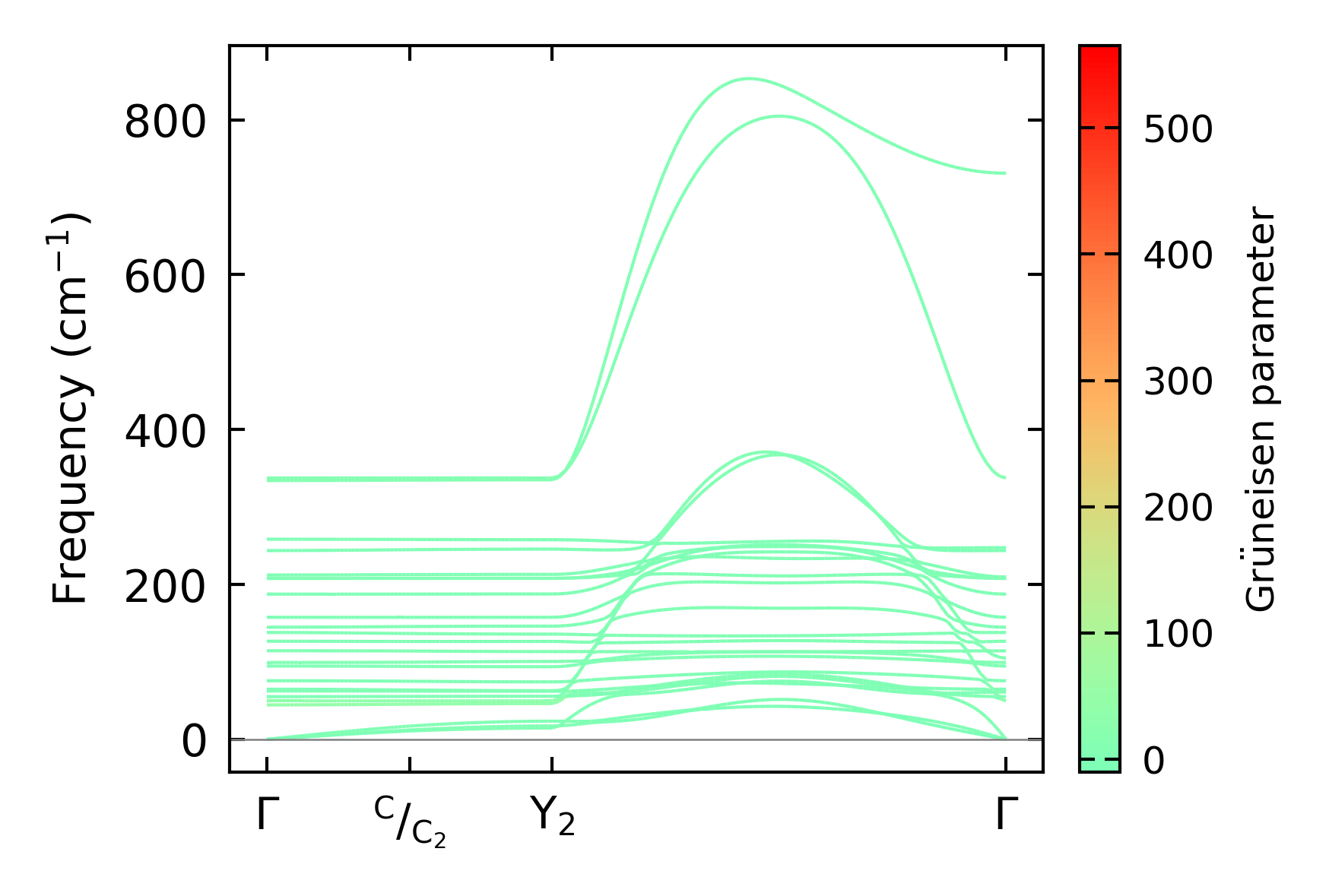
Grüneisen parameters

../../_images/fig_gru_all3623.png

(a) Grüneisen parameters

../../_images/fig_gruneisen3623.png

(b) Phonon dispersion with Grüneisen parameters

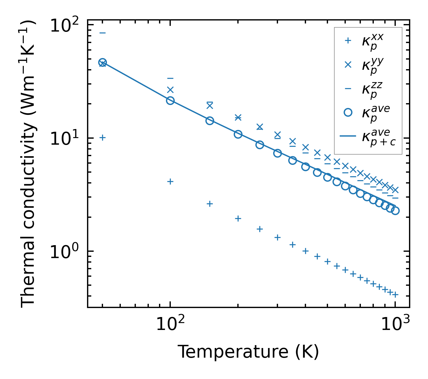
Thermal conductivity

3-phonon (LASSO) — q-mesh: 11x11x12, supercell: 1x4x2

../../_images/fig_kappa6842.png

(a) Temperature-dependent lattice thermal conductivity

../../_images/fig_kappa_vs_grain_size3671.png

(b) Peierls lattice thermal conductivity w.r.t grain size

Phonon lifetime and scattering rates

../../_images/fig_lifetime3589.png

(a) Phonon lifetime due to phonon-phonon scattering

../../_images/fig_scat_rates3588.png

(b) Phonon scattering rates

Cumulative and spectral thermal conductivity

../../_images/fig_cumu_frequency3589.png

(a) Spectral and cumulative thermal conductivity w.r.t frequency

../../_images/fig_cumu_mfp3588.png

(b) Spectral and cumulative thermal conductivity w.r.t MFP

Force constants

../../_images/fig_fc28860.png

(a) Force constants w.r.t atomic distance

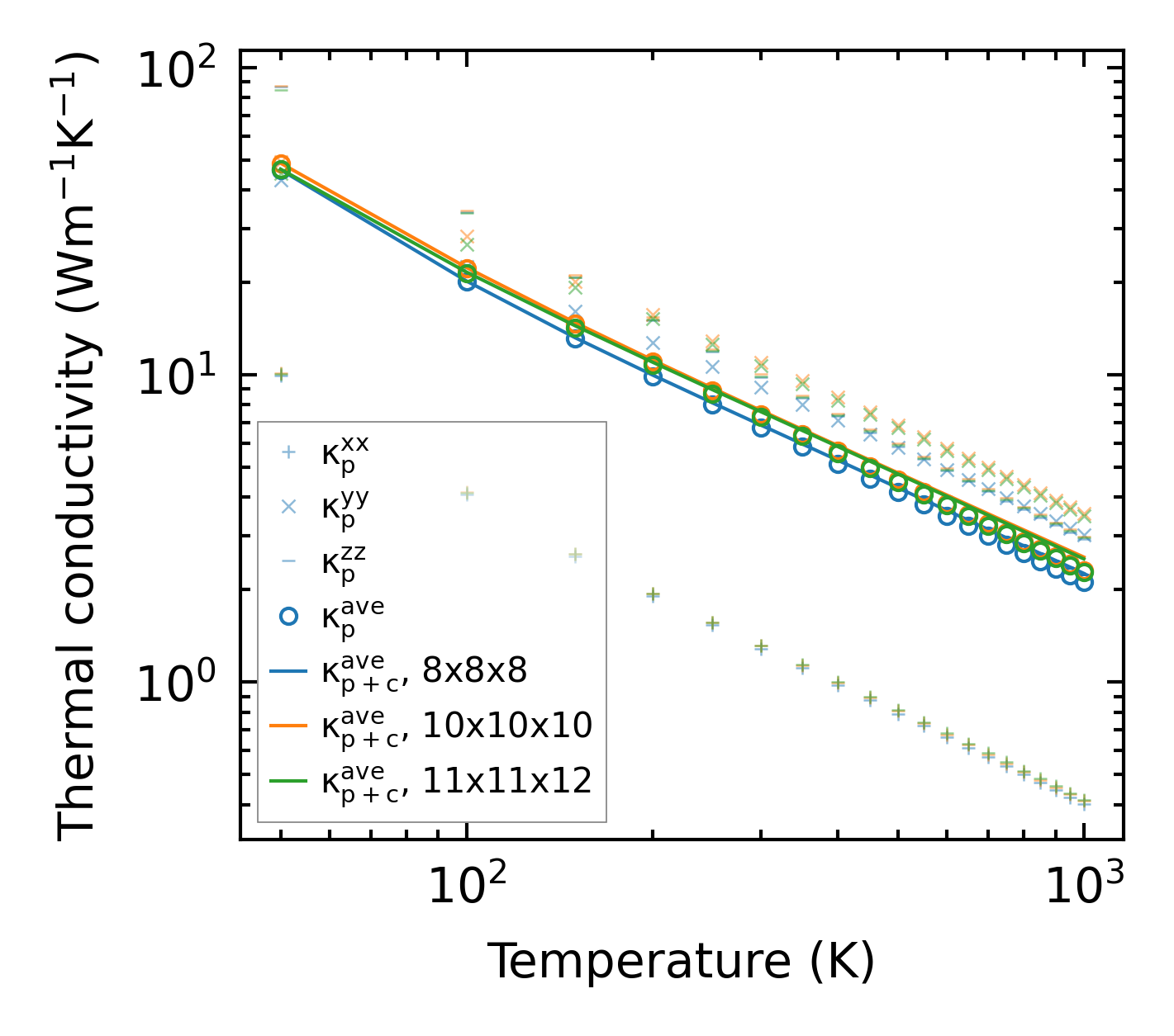
Summary

../../_images/fig_kappa6843.png

(a) Temperature-dependent lattice thermal conductivity

../../_images/fig_times15912.png

(b) Computation time